М
Молодежь
К
Компьютеры-и-электроника
Д
Дом-и-сад
С
Стиль-и-уход-за-собой
П
Праздники-и-традиции
Т
Транспорт
П
Путешествия
С
Семейная-жизнь
Ф
Философия-и-религия
Б
Без категории
М
Мир-работы
Х
Хобби-и-рукоделие
И
Искусство-и-развлечения
В
Взаимоотношения
З
Здоровье
К
Кулинария-и-гостеприимство
Ф
Финансы-и-бизнес
П
Питомцы-и-животные
О
Образование
О
Образование-и-коммуникации
melochek228
melochek228
05.08.2020 17:46 •  Физика

100 ! "на горизонтальной поверхности лежит брусок массой m=1.5 кг. в него попадает пуля массой m=20г., летящая со скоростью 250 м/с, и застревает в нём.какой путь пройдет брусок до такой остановки , если его коэффициент трения скольжения равен 0,2

👇
Ответ:
PomogiSPb
PomogiSPb
05.08.2020
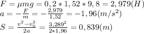
По закону сохранения импульса, начальная скорость бруска будет равна:
1,5*0+0,02*250=(1,5+0,02)*v\\v=3,289(m/s)

Сила трения равна:
F=\mu mg=0,2*1,52*9,8=2,979(H)\\a=-\frac{F}{m}=-\frac{2,979}{1,52}=-1,96(m/s^2)\\S=\frac{v^2-v_0^2}{2a}=\frac{3,289^2}{2*1,96}=0,839(m)
4,5(29 оценок)
Открыть все ответы
Ответ:
Nickbb
Nickbb
05.08.2020

Все гораздо проще.
Температура может даже не поменяться, но человеку будет казаться что стало прохладней. Это из-за того, что влажный воздух имеет большую теплопроводность чем сухой, следовательно, будет быстрей забирать у человека тепло.

Замечали, что железная ручка на двери холоднее чем сама деревянная дверь? А ведь температура та же самая. Все по той же самое причине теплопроводности.

А когда зимой садишься в машину, кажется что в машине градусов на 5 ниже чем на улице. Все из-за того, что железный кузов быстрее вытягивает у человека тепло.

4,4(53 оценок)
Ответ:
wut123
wut123
05.08.2020

Все гораздо проще.
Температура может даже не поменяться, но человеку будет казаться что стало прохладней. Это из-за того, что влажный воздух имеет большую теплопроводность чем сухой, следовательно, будет быстрей забирать у человека тепло.

Замечали, что железная ручка на двери холоднее чем сама деревянная дверь? А ведь температура та же самая. Все по той же самое причине теплопроводности.

А когда зимой садишься в машину, кажется что в машине градусов на 5 ниже чем на улице. Все из-за того, что железный кузов быстрее вытягивает у человека тепло.

4,6(18 оценок)
Новые ответы от MOGZ: Физика
logo
Вход Регистрация
Что ты хочешь узнать?
Спроси Mozg
Открыть лучший ответ