М
Молодежь
К
Компьютеры-и-электроника
Д
Дом-и-сад
С
Стиль-и-уход-за-собой
П
Праздники-и-традиции
Т
Транспорт
П
Путешествия
С
Семейная-жизнь
Ф
Философия-и-религия
Б
Без категории
М
Мир-работы
Х
Хобби-и-рукоделие
И
Искусство-и-развлечения
В
Взаимоотношения
З
Здоровье
К
Кулинария-и-гостеприимство
Ф
Финансы-и-бизнес
П
Питомцы-и-животные
О
Образование
О
Образование-и-коммуникации
olegmuslimov778
olegmuslimov778
24.11.2020 00:38 •  Физика

Определить результирующую напряжонность в точке а

👇
Ответ:
poilkee
poilkee
24.11.2020
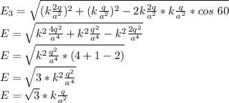
Для начала определитесь что треугольник равносторонний! Там угол 60 градусов будет, иначе если равнобедренный то угол неизвестен...
Так точка А находится где заряд +q, значит на заряд действуют две силы со стороны +2q и -q. Распишем эти силы:
E_{2q}= k\frac{2q}{a^2}
E_{-q}=k \frac{-q}{a^2} тут минус - но там везде степень чётная
Результирующая находится по правилу параллелограмма, в данном случае это будет диагональ. (там на рисунке можно взглянуть) 
Рассматривая сам треугольник результирующая находится по теореме косинусов E_3= \sqrt{E_1^2+E_2^2-2E_1E_2cos \alpha } - "Решаем"
E_3= \sqrt{(k\frac{2q}{a^2})^2+(k\frac{q}{a^2})^2-2k\frac{2q}{a^2}*k\frac{q}{a^2}*cos \ 60} \\E = \sqrt{k^2\frac{4q^2}{a^4}+k^2\frac{q^2}{a^4}-k^2\frac{2q^2}{a^4}} \\ E= \sqrt{k^2\frac{q^2}{a^4}*(4+1-2)} \\E= \sqrt{3*k^2\frac{q^2}{a^4}} \\E= \sqrt{3}*k \frac{q}{a^2}

Определить результирующую напряжонность в точке а
4,6(27 оценок)
Открыть все ответы
Ответ:
Ermolenkoo
Ermolenkoo
24.11.2020
Электрометр.
Электрометр представляет собой металлический цилиндрический корпус, передняя и задняя стенки которого стеклянные. Корпус закреплен на подставке. Через изолирующую втулку внутрь корпуса сверху проходит металлическая трубка, заканчивающаяся стержнем с установленной на нем легкоподвижной стрелкой, отклонение которой определяется величиной заряда. Стрелка может вращаться вокруг горизонтальной оси. Внутри корпуса установлена шкала электрометра.
При соприкосновении заряженного тела со стержнем электрометра электрические заряды распределяются по стержню и стрелке. Силы отталкивания, действующие между одноименными зарядами на стержне и стрелке, вызывают поворот стрелки. В результате отталкивания одноименных зарядов стрелка-указатель поворачивается на тот или иной угол в зависимости от величины сообщенного заряда.
4,6(68 оценок)
Ответ:
saruul708
saruul708
24.11.2020
В 1595 году ученый-физик У. Гильберт предположил в ходе своих опытов, что Земля является большим магнитом и последующие исследования подтвердили это предположение. Вокруг Земли существует магнитное поле, которое условно изображают магнитными линиями. В каждой точке магнитного поля магнитная стрелка устанавливается вдоль магнитной линии. На этом основано действие компаса. Если активность солнца возрастает, то с его поверхности в космическое пространство выбрасываются потоки заряженных частиц. Магнитное поле, образующее эти подвижные частицы, изменяет магнитное поле земли и является причиной магнитных бурь. УСТАНОВЛЕНО, ЧТО ЗЕМНОЕ МАГНИТНОЕ ПОЛЕ НАДЕЖНО ЗАЩИЩАЕТ ПОВЕРХНОСТЬ НАШЕЙ ПЛАНЕТЫ ОТ КОСМИЧЕСКОГО ИЗЛУЧЕНИЯ, ДЕЙСТВИЕ КОТОРОГО НА ЖИВЫЕ ОРГАНИЗМЫ ЧАСТО ЯВЛЯЕТСЯ РАЗРУШИТЕЛЬНЫМ.
4,4(79 оценок)
Новые ответы от MOGZ: Физика
logo
Вход Регистрация
Что ты хочешь узнать?
Спроси Mozg
Открыть лучший ответ