М
Молодежь
К
Компьютеры-и-электроника
Д
Дом-и-сад
С
Стиль-и-уход-за-собой
П
Праздники-и-традиции
Т
Транспорт
П
Путешествия
С
Семейная-жизнь
Ф
Философия-и-религия
Б
Без категории
М
Мир-работы
Х
Хобби-и-рукоделие
И
Искусство-и-развлечения
В
Взаимоотношения
З
Здоровье
К
Кулинария-и-гостеприимство
Ф
Финансы-и-бизнес
П
Питомцы-и-животные
О
Образование
О
Образование-и-коммуникации
artiktikhonov
artiktikhonov
13.02.2022 16:44 •  Физика

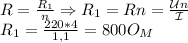
Вэлектрической люстре включены 4 одинаковые лампы (параллельно). определите сопротивление одной лампы, если напряжение в сети 220 в, а общая сила тока 1,1 а.

👇
Ответ:
Радость в простоте :)
R= \frac{R_1}{n} \Rightarrow R_1=Rn= \frac{\mathcal Un}{\mathcal I} \\
R_1= \frac{220*4}{1,1}=800O_M

Вэлектрической люстре включены 4 одинаковые лампы (параллельно). определите сопротивление одной ламп
4,6(81 оценок)
Ответ:
Пони20171
Пони20171
13.02.2022
Решение на фото прощения за почерк.
4,5(79 оценок)
Открыть все ответы
Ответ:
Q3max2011
Q3max2011
13.02.2022
1-Плотность, кг/м3: этиловый спирт - 790; Молоко средней жирности 1030; Ртуть 13550. 
m=плотность*объем. Объем = 0,5л/1000 = 0,0005м3. 
Масса этил.спирта = 790*0,0005 = 0,395кг = 395г. 
Масса молока = 1030*0,0005 = 0,515кг = 515г. 
Масса ртути = 13550*0,0005 = 6,775кг = 6775г.
2-Дано: масса = 108 г ., по таблице плотности твёрдых тел плотность льда = 0,90 г/см кубических найти: объём Решение: формула чтобы найти объём надо массу разделить на плотность. объём равен 108 : 0,90 = 120 значит объём 120 грамм или 0,12 килограмм
3- решения не знаю((( но равно
4,6(79 оценок)
Ответ:
helpmeplease24
helpmeplease24
13.02.2022
Существуют изменения внутренней энергии тела: совершение работы и теплопередача.
Теплопередача – процесс изменения внутренней энергии без совершения работы, при этом внутренняя энергия одного тела увеличивается за счёт уменьшения внутренней энергии другого тела. Переход энергии идет от тел с более высокой температурой к телам с более низкой температурой. Существует ее варианты: теплопроводность, конвекция и излучение.В теории, потенциальная энергия зависит от h высоты предмета, кинетическая от его скорости.
Внутренняя энергия должна оставаться постоянной
4,4(86 оценок)
Это интересно:
Новые ответы от MOGZ: Физика
logo
Вход Регистрация
Что ты хочешь узнать?
Спроси Mozg
Открыть лучший ответ