М
Молодежь
К
Компьютеры-и-электроника
Д
Дом-и-сад
С
Стиль-и-уход-за-собой
П
Праздники-и-традиции
Т
Транспорт
П
Путешествия
С
Семейная-жизнь
Ф
Философия-и-религия
Б
Без категории
М
Мир-работы
Х
Хобби-и-рукоделие
И
Искусство-и-развлечения
В
Взаимоотношения
З
Здоровье
К
Кулинария-и-гостеприимство
Ф
Финансы-и-бизнес
П
Питомцы-и-животные
О
Образование
О
Образование-и-коммуникации
Maximys2001123
Maximys2001123
27.08.2020 11:19 •  Физика

Сила тока в цепи равно 5 ампер,эдс источника тока равно 20 в,внешнее сопротивление равно 2 ом,найти внутренне сопротивление

👇
Ответ:
rbhz
rbhz
27.08.2020
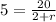
Закон Ома для полной цепи:
I = \frac{E}{R+r}
5 = \frac{20}{2+r}
10 + 5r = 20

5r = 10
r = 2
4,8(92 оценок)
Открыть все ответы
Ответ:
liubovbalan
liubovbalan
27.08.2020
1) Дано:                                                  Решение:
   V = 0,03 м³
   ρ = 800 кг/м³              Выталкивающая сила, действующая на шар,
   V₁ = 4/5 V                  численно равна весу жидкости в объеме 
   g = 10 Н/кг                 погруженной части шара.
                 Fa = ρV₁g = 800*0,8*0,03*10 = 192 (Н)
   Найти: Fa - ?                    

ответ: 192 Н.

2) Дано:                                             Решение:
   V = 4 дм³ = 0,004 м³
   Fa = 36 H                       Fa = ρVg  =>    ρ = Fa/Vg = 36:0,04 = 900 (кг/м³)
   g = 10 Н/кг
                Такая плотность соответствует плотности
   Найти: ρ - ?                машинного масла.

ответ: машинное масло.

3) Дано:                                                  Решение:
   V = 4*5*6 = 120 (см³)
   V₁ = 3/8 V                                Fa = ρV₁g = 3/8 * 800*120*10⁻⁶*10 =
   ρ = 800 кг/м³                                              = 3/8 *8*1,2 :10 = 0,36 (Н)
   g = 10 H/кг                             

   Найти: Fa - ? 

ответ: 0,36 Н.

4)  Дано:                                              Решение:
   Fa = 1800 H
   ρ = 1000 кг/м³              Fa = ρVg  =>  V = Fa/ρg = 1800 : 10000 = 0,18 (м³)
   g = 10 H/кг

    Найти: V - ?
 
ответ: 0,18 м³
4,5(89 оценок)
Ответ:
1) Найдем поверхностную энергию одной капельки ртути:
  E₁ = σ *S

Коэффициент поверхностного натяжения ртути (при 20⁰С)::
σ = 0,47 Н/м

Площадь поверхности капельки:
S₁ = 4*π*r² = 4*3,14*(0,002)² ≈ 5,03*10⁻⁵ м²

Тогда поверхностная энергия одной капельки:
E₁ = 0,47*5,03*10⁻⁵ ≈ 23,6*10⁻⁶ Дж

Энергия всех капелек до слияния:
E₀ = 64*E₁ ≈ 1,5*10⁻³ Дж

Что будет после слияния капелек?
Объем одной капельки:
V₁ = (4/3)*π*r³ = (4/3)*3,14*(0,002)³ ≈ 3,35*10⁻⁸ м³

Объем получившейся капли:
V=64*V₁ = 2,14*10⁻⁶ м³

Радиус получившейся капли
R=∛ (3*V/(4*π)) = ∛ (3*2,14*10⁻⁶ / (4*3,14)) ≈ 8*10⁻³ м

Площадь поверхности капли
S = 4*π*R² = 4*3,14*(8*10⁻³)² ≈ 8,04*10⁻⁴ м²

Энергия поверхности капли:
E=σ*S = 0,47*8,04*10⁻⁴ ≈ 3,78*10⁻⁴ Дж

Изменение энергии капли
ΔE = E₀-E=1,5*10⁻³-3,78*10⁻⁴ ≈ 1,1*10⁻³ Дж

(Замечание: Эту задачу можно решать и в общем виде... Но так, мне кажется, понятнее... :(
4,6(53 оценок)
Это интересно:
Новые ответы от MOGZ: Физика

MOGZ ответил

Полный доступ к MOGZ
Живи умнее Безлимитный доступ к MOGZ Оформи подписку
logo
Вход Регистрация
Что ты хочешь узнать?
Спроси Mozg
Открыть лучший ответ