М
Молодежь
К
Компьютеры-и-электроника
Д
Дом-и-сад
С
Стиль-и-уход-за-собой
П
Праздники-и-традиции
Т
Транспорт
П
Путешествия
С
Семейная-жизнь
Ф
Философия-и-религия
Б
Без категории
М
Мир-работы
Х
Хобби-и-рукоделие
И
Искусство-и-развлечения
В
Взаимоотношения
З
Здоровье
К
Кулинария-и-гостеприимство
Ф
Финансы-и-бизнес
П
Питомцы-и-животные
О
Образование
О
Образование-и-коммуникации
АнькаЦитрус
АнькаЦитрус
07.10.2021 03:57 •  Физика

Найдите кинетическую энергию мяча масса 200г личащийся со скорости 72 км/ч

👇
Ответ:
ULYAVALEREVNA
ULYAVALEREVNA
07.10.2021
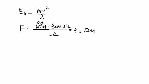
Воспользуемся формулой для расчета кинетической энергии 
Найдите кинетическую энергию мяча масса 200г личащийся со скорости 72 км/ч
4,6(39 оценок)
Ответ:
Формула верна
________________

Найдите кинетическую энергию мяча масса 200г личащийся со скорости 72 км/ч
4,6(11 оценок)
Открыть все ответы
Ответ:
arinociIfca32
arinociIfca32
07.10.2021
1. Т=0,1 с                T=t/n      0.1=t/20    t=2 (сек)n=20                        t-?                             u=n/t=20/2=10 (сек)u-?Примечание: Частота колебаний - u 2. U=340м/с      /L=U/u=340/100=3.4(м)u=100Гц/L-? Примечание:  /L- лямда(длина волны), U- скорость волны  3.t=5c                   U=n*/L / t = 10*1/5=2 (м/с)n=10/L=1мU-? 4. m/4                               Т(1)=2\pi*\sqrt(m/k)        Т(2)=2\pi*\sqrt(m/4k)    T(1)/T(2)измТ-?                                                                    T(1)/T(2)= \sqrt(4)    --->  T(2)=T(1)/2   Значение периода уменьшилось в 2 раза
4,4(34 оценок)
Ответ:
irisha190784
irisha190784
07.10.2021
1. Самое простое - в стенке сосуда сделать окошко и закрыть его резиной от воздушного шарика. При наличии избыточного давления резина начнет выгибаться наружу. 
2. Бутылку из пластика смятую поместить под воду (например, засыпав на дно свинцовую дробь). Нагреть воду - и бутылка начнет распрямляться под давлением газа на стенки. ... Тоже можно сделать не сминая бутыли - тогда в бутылке при атмосферном давлении должен быть воздух. При погружении под воду она сожмется пока давление воздуха не уравновесит давление воды. При нагреве - распрямится как и в первом варианте.
4,5(56 оценок)
Это интересно:
Новые ответы от MOGZ: Физика
logo
Вход Регистрация
Что ты хочешь узнать?
Спроси Mozg
Открыть лучший ответ