М
Молодежь
К
Компьютеры-и-электроника
Д
Дом-и-сад
С
Стиль-и-уход-за-собой
П
Праздники-и-традиции
Т
Транспорт
П
Путешествия
С
Семейная-жизнь
Ф
Философия-и-религия
Б
Без категории
М
Мир-работы
Х
Хобби-и-рукоделие
И
Искусство-и-развлечения
В
Взаимоотношения
З
Здоровье
К
Кулинария-и-гостеприимство
Ф
Финансы-и-бизнес
П
Питомцы-и-животные
О
Образование
О
Образование-и-коммуникации
ЖеняРай
ЖеняРай
28.09.2020 11:19 •  Физика

Пуля массой 5.2 г вылетает под действием пороховых газов из канала ствола длиной 47 см со скоростью 80 км/ч. вычислите среднюю силу давления пороховых газов. трение пули о стенки ствола не учитывать

👇
Ответ:
norbyss32
norbyss32
28.09.2020
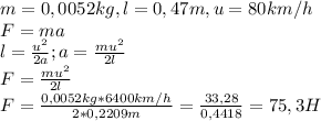
m=0,0052kg, l=0,47m, u=80km/h \\ F=ma \\ l=\frac{u^2}{2a} ; a= \frac{mu^2}{2l} \\ F= \frac{mu^2}{2l} \\ F= \frac{0,0052kg*6400 km/h}{2*0,2209m} = \frac{33,28}{0,4418} = 75,3 H
4,6(20 оценок)
Открыть все ответы
Ответ:
Kiberyblydok23
Kiberyblydok23
28.09.2020
Испарение - это парообразование с поверхности жидкости.если жидкость находится в открытом сосуде, то она постепенно испаряется, то есть переходит в газообразное состояние. переход из одного агрегатного состояния в другое называется фазовым переходом. испарение жидкостей происходит при любой температуре, но при увеличении температуры скорость испарения увеличивается.молекулы в жидкости, также как и в газе, разными скоростями, а, следовательно, и разными энергиями, хотя средняя энергия молекул при неизменной температуре имеет вполне определенное значение. всегда какая-то часть молекул имеет значение энергии больше среднего и какая-то часть меньше среднего. соответственно и скорости молекул разные. при каждой температуре наиболее быстрые молекулы могут преодолеть притяжение соседних молекул и, прорвавшись сквозь поверхностный слой, вылететь за пределы жидкости. чем выше температура жидкости, тем больше быстрых молекул и тем быстрее идет испарение. при испарении из жидкости вылетают наиболее быстрые молекулы. они тратят часть своей энергии на совершение работы против удерживающих их в поверхностном слое сил молекулярного притяжения. оставшиеся в жидкости молекулы имеют меньшую энергию. таким образом, средняя энергия этих молекул убывает, следовательно, жидкость охлаждается.но, если подводить к жидкости тепло, то ее температура может не изменяться. проще говоря, при испарении энергия поглощается. жидкость самые быстрые молекулы, а внутри неё остаются более медленные молекулы. кинетическая энергия молекул, оставшихся в жидкости, уменьшается. внутренняя энергия жидкости тоже уменьшается. когда нет притока энергии к жидкости извне, испарение ведет к уменьшению внутренней энергии жидкости - температура жидкости понижается.
4,4(46 оценок)
Ответ:
bestschool2
bestschool2
28.09.2020
Имеем формулу нагревания: Q=cm(t2-t1), где t1=10град.С;  t2=0град.С ; m=10 кг.(масса воды) удельная теплоемкость воды = 4,1919 Дж/г*град.С (из таблицы уд.теплоемкости воды в зависисимости  от  температры); нужно найти: Q - это количество теплоты.
1)Q=10*4,1919/0,001*(0-10)= -419190 Дж/кг*град.С
2)10*4,1919*0,001/0,001*(0-10)= -419,19 КДж/кг*град.С 3)10*4,1919*0,000001/0,001*(0-10)= -0,41919 МДж/кг*град.
С= -0,42 МДж/кг*град.С
Вода охладилась на 10 градусов и внутренняя энергия уменьшается на  0,42 МДж/кг.*град.С
4,5(88 оценок)
Это интересно:
Новые ответы от MOGZ: Физика
logo
Вход Регистрация
Что ты хочешь узнать?
Спроси Mozg
Открыть лучший ответ