М
Молодежь
К
Компьютеры-и-электроника
Д
Дом-и-сад
С
Стиль-и-уход-за-собой
П
Праздники-и-традиции
Т
Транспорт
П
Путешествия
С
Семейная-жизнь
Ф
Философия-и-религия
Б
Без категории
М
Мир-работы
Х
Хобби-и-рукоделие
И
Искусство-и-развлечения
В
Взаимоотношения
З
Здоровье
К
Кулинария-и-гостеприимство
Ф
Финансы-и-бизнес
П
Питомцы-и-животные
О
Образование
О
Образование-и-коммуникации
olga195888
olga195888
20.08.2021 13:36 •  Физика

Движения тела x=18t-1,4t2.какая масса тела,если на него действует сила 2,8 кн?

👇
Ответ:
школа433
школа433
20.08.2021
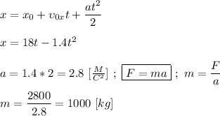
x = x_{0} + \upsilon_{0x}t + \dfrac{at^{2}}{2} \\ \\ x = 18t - 1.4t^{2} \\ \\ a = 1.4 * 2 = 2.8 \ [ \frac{M}{C^{2}}] \ ; \ \boxed{F = ma} \ ; \ m = \dfrac{F}{a} \\ \\ m = \dfrac{2800}{2.8} = 1000 \ [kg]
ответ: m = 1000 кг
4,4(10 оценок)
Открыть все ответы
Ответ:
Aikaid
Aikaid
20.08.2021
Недостатки

Для работы камеры Вильсона оптимально Р от 0,1 до 2 атм;
при более высоких давлениях работа затруднена необходимостью
очищать камеру от капель, оставшихся после расширения.
С ростом давления увеличивается также время нечувствительности
(мёртвое время) .
Для измерения импульсов частиц, регистрируемых в камере Вильсона ,
её помещают в магн. поле; для увеличения количества вещества, проходимого частицей, в ней располагают пластины из плотного материала, оставляя между ними зазоры для наблюдения следов (треков) частиц .

преимущество


немалым преимуществрм есть дешовизна.

Происходит переход и t 0 градусов C

4,7(39 оценок)
Ответ:
vldslvkonnov089
vldslvkonnov089
20.08.2021
Эти две ситуации очень похожи, в обеих ситуациях есть параллельное движение электронов.

Но если электроны текут по проводам, их электрическое поле экранируется положительными ионами кристаллической решетки проводов. Проще говоря, электроны не создают вокруг провода электрического поля (оно гасится положительными ядрами атомов металла), и поэтому провода притягиваются друг к другу из-за слабого магнитного поля

Если электроны летят в воздухе, то их электрическое поле ничем не экранируется и электроны взаимодействуют еще и как заряженные частицы. Так как сила электрического взаимодействия на много порядков выше сил магнитного взаимодействия (если электроны летят не с околосветовыми скоростями), то слабый эффект магнитного притяжения полностью перекрывается электрическим отталкиванием
4,6(51 оценок)
Новые ответы от MOGZ: Физика
logo
Вход Регистрация
Что ты хочешь узнать?
Спроси Mozg
Открыть лучший ответ