М
Молодежь
К
Компьютеры-и-электроника
Д
Дом-и-сад
С
Стиль-и-уход-за-собой
П
Праздники-и-традиции
Т
Транспорт
П
Путешествия
С
Семейная-жизнь
Ф
Философия-и-религия
Б
Без категории
М
Мир-работы
Х
Хобби-и-рукоделие
И
Искусство-и-развлечения
В
Взаимоотношения
З
Здоровье
К
Кулинария-и-гостеприимство
Ф
Финансы-и-бизнес
П
Питомцы-и-животные
О
Образование
О
Образование-и-коммуникации
tkaa
tkaa
13.05.2020 11:33 •  Физика

Тело из состояния покоя за 10 секунд путь 200 метров. какую скорость оно приобрело за это время?

👇
Ответ:
lizochkascherb
lizochkascherb
13.05.2020
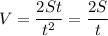
Дано:

Время движения: t = 10 c.

Пройдённый путь: S = 200 м.

Начальная скорость: \bf V_0 = 0 м/с.

Найти нужно текущую скорость: V - ?

Решение:

1. Формула пути равноускоренного движения: S = V_0t + \dfrac{at^2}{2}.

2. С учётом того, что начальная скорость равна нулю, (1) можно переписать так: S = \dfrac{at^2}{2}.

3. Выразим ускорение из (2): a = \dfrac{2S}{t^2}.

4. Формула скорости при равноускоренном движении: V = V_0 + at.

5. С учётом нулевой начальной скорости: V = at.

6. Объединяем (3) и (5): V = \dfrac{2St}{t^2} = \dfrac{2S}{t}.

Численно получаем:

V = \dfrac{2\times 200}{10} = 40 (м/с).

ответ: 40 м/с.
4,4(49 оценок)
Открыть все ответы
Ответ:
valeria03mailowfj4z
valeria03mailowfj4z
13.05.2020
Вода по своей природе - изумительный аккумулятор тепловой энергии, Имея высокую теплоёмкость и высокую плотность, она требует для нагревания значительной теплоты: для того, чтобы нагреть 1 кг (1 литр) воды на 1 градус требуется затратить 4,18 кДж энергии. Столько же энергии выделяется при охлаждении 1 л воды на 1 градус. А сколько воды вокруг островов? Поэтому даже весьма северные острова имеют более мягкий климат, нежели районы тех же широт, скажем, в Сибири. То есть причина в теплоёмкости воды и высокой плотности.
4,8(97 оценок)
Ответ:
petrius100p0bmz5
petrius100p0bmz5
13.05.2020

Відповідь: 1 Любой ощутимый ток проходящий через Вас в течение достаточно длительного времени убьет Вас. Поэтому сперва приведем примерные времена допустимого воздействия электрического тока в зависимости от напряжения на человека

2 При замыкании электрической цепи через организм человека ток оказывает термическое, электролитическое, биологическое и механическое воздействие. Термическое действие тока проявляется в виде ожогов как наружных участков тела, так и внутренних органов, в том числе кровеносных сосудов и нервных тканей.

Пояснення:

4,8(10 оценок)
Новые ответы от MOGZ: Физика
logo
Вход Регистрация
Что ты хочешь узнать?
Спроси Mozg
Открыть лучший ответ