М
Молодежь
К
Компьютеры-и-электроника
Д
Дом-и-сад
С
Стиль-и-уход-за-собой
П
Праздники-и-традиции
Т
Транспорт
П
Путешествия
С
Семейная-жизнь
Ф
Философия-и-религия
Б
Без категории
М
Мир-работы
Х
Хобби-и-рукоделие
И
Искусство-и-развлечения
В
Взаимоотношения
З
Здоровье
К
Кулинария-и-гостеприимство
Ф
Финансы-и-бизнес
П
Питомцы-и-животные
О
Образование
О
Образование-и-коммуникации
Sdkaj
Sdkaj
05.04.2021 11:12 •  Физика

Найдите среднюю плотность солнца, если его радиус равен 695000 км, а ускорение свободного падения вблизи его поверхности приблизительно равно 274 м/с2. объем шара можно вычислить по формуле v = 4/3 πr3.

👇
Ответ:
student2544
student2544
05.04.2021

Дано:

R=695000км=6.95·10⁸м

g=274м/с²

Найти: ρ-?

Распишем ускорение свободного падения:

g=\dfrac{GM}{R^2}

Maccу представим как произведение плотности и объема:

g=\dfrac{G\cdot\rho V}{R^2}

Распишем объем:

g=\dfrac{G\rho \cdot\frac{4}{3}\pi R^3}{R^2}

Получаем соотношение:

g=\dfrac{4}{3}\pi G\rho R

Выражаем плотность:

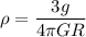
\rho =\dfrac{3g}{4\pi GR}

Подставляем значения:

\rho\approx\dfrac{3\cdot274}{4\cdot3.14\cdot6.67\cdot10^{-11}\cdot 6.95\cdot10^8}=1412\ \mathrm{(kg/m^3)}

ответ: 1412кг/м³

4,4(61 оценок)
Открыть все ответы
Ответ:
bodrov2015
bodrov2015
05.04.2021
1Си́ла — векторная физическая величина, являющаяся мерой интенсивности воздействия на данное тело других тел, а также полей. Приложенная к массивному телу сила является причиной изменения его скорости или возникновения в нём деформаций и напряжений .
2 если тело движется
Две силы называются численно равными и противоположными по направлению, если одновременное приложение этих сил в одной и той же точке тела не вызывает изменения его механического движения 
3
Результат действия силы зависит от направления, модуля силы 
4,7(39 оценок)
Ответ:
ImHomme
ImHomme
05.04.2021
1Си́ла — векторная физическая величина, являющаяся мерой интенсивности воздействия на данное тело других тел, а также полей. Приложенная к массивному телу сила является причиной изменения его скорости или возникновения в нём деформаций и напряжений .
2 если тело движется
Две силы называются численно равными и противоположными по направлению, если одновременное приложение этих сил в одной и той же точке тела не вызывает изменения его механического движения 
3
Результат действия силы зависит от направления, модуля силы 
4,4(10 оценок)
Это интересно:
Новые ответы от MOGZ: Физика
logo
Вход Регистрация
Что ты хочешь узнать?
Спроси Mozg
Открыть лучший ответ