М
Молодежь
К
Компьютеры-и-электроника
Д
Дом-и-сад
С
Стиль-и-уход-за-собой
П
Праздники-и-традиции
Т
Транспорт
П
Путешествия
С
Семейная-жизнь
Ф
Философия-и-религия
Б
Без категории
М
Мир-работы
Х
Хобби-и-рукоделие
И
Искусство-и-развлечения
В
Взаимоотношения
З
Здоровье
К
Кулинария-и-гостеприимство
Ф
Финансы-и-бизнес
П
Питомцы-и-животные
О
Образование
О
Образование-и-коммуникации
NastyaAngell
NastyaAngell
21.11.2022 11:54 •  Геометрия

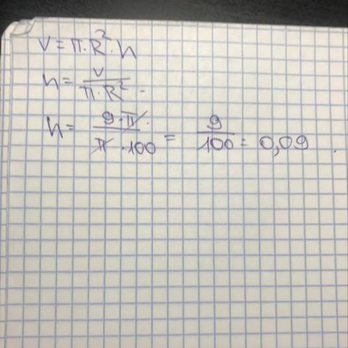
Нужно выразить формулу и решить

👇
Ответ:
Shmanin32
Shmanin32
21.11.2022
Вот решение данной задачи
Нужно выразить формулу и решить
4,4(67 оценок)
Открыть все ответы
Ответ:
Marcelyn
Marcelyn
21.11.2022
1:
тр АВС - (уг С=90*)
СН - высота
ВС=16 см
АВ = 20 см
Найти:
НВ - ?

Решение:
1) По т Пифагора  к тр АВС: АС² = АВ²-ВС²;  АС²=400-256 = 144; АС = 12 см
2) Пусть НВ = х (см), тогда АН=(20-х) см. Выразим катет НС из прямоугольных треугольников АНС и ВНС, в которых уг Н =90*. Получим уравнение:
144-(20-х)² = 256-х²
144-400+40х-х²=256-х²
-256+40х=256
40х=512
х=512 : 40
х=12,8 (см) - проекция НВ катета ВС на гипотенузу АВ                                                                                                                            2

Рассмотрим: АБС АБ=41 см АС=9 см АБ'=АС' + ВС' ( по т. Пифагора) ВС'=АБ' - АС' ВС' = 41' - 9' ВС'= 1681-81 ВС'=1600 ВС=40 см Р=АБ+БС+АС=41+40+9=90 см ('=в квадрате) ответ: Р=90 см.
3
т.к. диагонали ромба, пересекаясь, обазуют угол в 90 градусов и делятся пополам, то ром делится на 4 одинаковых прямоугольных треугольника. рассмотрим один из них.
сторона ромба будет являться гипотенузой, тогда найдем ее по теореме пифагора: корень из (8*8+4*4)=4 корня из 54
Если известны все стороны трапеции, можно найти диагональ по формуле: d=√(c²+ab), где a  и b - основания, с - боковая сторона.Пусть дана трапеция АВСД - равнобедренная. АД=21 см, ВС=11 см.АВ=СД=13 смАС=√(АВ²+ВС*АД)=√(13²+11*21)=√(169+231)=√400=20 см.ответ: 20 см.

5

х-наклонная у-наклонная , у=х+7h-высота от точки до прямойh=√x²-6² , иh=√(x+7)²-15²
(√х²-6)=(√(х+7)²-15²)) , возведем обе части ур-я в квадратх²-6²=(х+7)²-15²х²-36=х²+14х+49-22514х=140х=10 сму=10+7=17 см
4,8(70 оценок)
Ответ:
marina13marina13
marina13marina13
21.11.2022

Две прямые лежат в одной плоскости, если смешанное произведение их направляющих векторов и третьего вектора, проведённого между двумя точками, лежащими на этих прямых, равно 0 . (При равенстве нулю смешанного произведения делаем вывод о компланарности трёх векторов.)

Из уравнения прямых можно выписать координаты направляющих векторов и координаты точек, лежащих на прямых .

\begin{gathered}l_1:\; \frac{x-1}{2}=\frac{y+2}{-1}=\frac{z}{-2}\; \; ,\; \; \vec{s}_1=(2,-1,-2)\; ,\; \; M_1(1,-2,0) l_2:\; \frac{x+1}{1}=\frac{y+11}{2}=\frac{z+6}{1}\; \; ,\; \; \vec{s}_2=(1,2,1 )\; \; ,\; \; M_2(-1,-11,-6)overline {M_2M_1}=(1+1,-2+11,0+6)=(2,9,6)(\overline {M_2M_1},\vec{s}_1,\vec{s}_2)= \left|\begin{array}{ccc}2&9&6\\2&-1&-2\\1&2&1\end{array}\right|= 2(-1+2)-9(2+2)+6(4+1)=0\end{gathered}

l

1

:

2

x−1

=

−1

y+2

=

−2

z

,

s

1

=(2,−1,−2),M

1

(1,−2,0)

l

2

:

1

x+1

=

2

y+11

=

1

z+6

,

s

2

=(1,2,1),M

2

(−1,−11,−6)

M

2

M

1

=(1+1,−2+11,0+6)=(2,9,6)

(

M

2

M

1

,

s

1

,

s

2

)=

2

2

1

9

−1

2

6

−2

1

=2(−1+2)−9(2+2)+6(4+1)=0

4,7(86 оценок)
Это интересно:
Новые ответы от MOGZ: Геометрия
logo
Вход Регистрация
Что ты хочешь узнать?
Спроси Mozg
Открыть лучший ответ