М
Молодежь
К
Компьютеры-и-электроника
Д
Дом-и-сад
С
Стиль-и-уход-за-собой
П
Праздники-и-традиции
Т
Транспорт
П
Путешествия
С
Семейная-жизнь
Ф
Философия-и-религия
Б
Без категории
М
Мир-работы
Х
Хобби-и-рукоделие
И
Искусство-и-развлечения
В
Взаимоотношения
З
Здоровье
К
Кулинария-и-гостеприимство
Ф
Финансы-и-бизнес
П
Питомцы-и-животные
О
Образование
О
Образование-и-коммуникации
markzastawa
markzastawa
23.08.2022 23:50 •  Геометрия

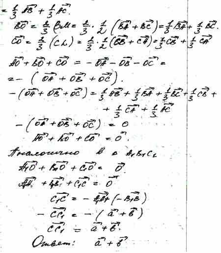
Треугольники abc и a1b1c1 имеют общую точку пересечения медиан. известно,что вектор b1a=a, вектор a1b=b. выразите через векторы a и b вектор cc1.

👇
Ответ:
wkolo3avr211
wkolo3avr211
23.08.2022

Готово! Прими(те) ответы


Треугольники abc и a1b1c1 имеют общую точку пересечения медиан. известно,что вектор b1a=a, вектор a1
4,6(16 оценок)
Открыть все ответы
Ответ:
Katuchka001
Katuchka001
23.08.2022
Решение умных людей ) не мое , но все же 1. строим тр-к авс с углами альфа (вершина а) и бета (вершина с) при основании. 2. строим биссектрисы углов а и с. 3. радиусом св с центром в точке с проводим полуокружность с пересечением стороны ас в точке d. дугу dв откладываем вправо от точки в и еще откладываем половину дуги угла бета. получили точку м. угол dсм равен 2,5 бета. 4. радиусом сm, с центром в т. а проводим дугу угла альфа. 5. измеряем дугу половины угла альфа. 6. эту дугу откладываем по дуге угла мсb от точки м в сторону точки в. получили точку n. 7. угол acn = 2,5 бета - 0,5 альфа.
4,5(3 оценок)
Ответ:
Khghchcghcg123321
Khghchcghcg123321
23.08.2022
Дано: δ авс ∠с = 90° ак - биссектр. ак = 18 см км = 9 см найти:   ∠акв решение.       т.к. расстояние от точки  измеряется по перпендикуляру, то опустим его из (·) к  на гипотенузу ав и обозначим это расстояние км.       рассмотрим полученный δ акм, т.к.  ∠амк = 90°,то ак гипотенуза, а км - катет. поскольку, исходя из  условия, катет км = 9/18 = 1/2 ак, то  ∠кам = 30°.        т.к. по условию ак - биссектриса, то  ∠сак =∠кам = 30°       рассмотрим  δакс. по условию  ∠аск = 90°; а∠сак = 30°, значит,  ∠акс = 180° - 90° - 30° = 60°       искомый  ∠акв - смежный с  ∠акс, значит,  ∠акв = 180° - ∠акс = 180° - 60° = 120°  ответ: 120° подробнее - на -
4,4(53 оценок)
Это интересно:
Новые ответы от MOGZ: Геометрия
logo
Вход Регистрация
Что ты хочешь узнать?
Спроси Mozg
Открыть лучший ответ