М
Молодежь
К
Компьютеры-и-электроника
Д
Дом-и-сад
С
Стиль-и-уход-за-собой
П
Праздники-и-традиции
Т
Транспорт
П
Путешествия
С
Семейная-жизнь
Ф
Философия-и-религия
Б
Без категории
М
Мир-работы
Х
Хобби-и-рукоделие
И
Искусство-и-развлечения
В
Взаимоотношения
З
Здоровье
К
Кулинария-и-гостеприимство
Ф
Финансы-и-бизнес
П
Питомцы-и-животные
О
Образование
О
Образование-и-коммуникации
Леголаска
Леголаска
02.12.2020 20:11 •  Геометрия

Периметр рівнобічної трапеції дорівнює 46 см. знайдіть бічну сторону трапеції, якщо вона дорівнює середній лінії трапеції

👇
Ответ:
3743Dasha
3743Dasha
02.12.2020

Объяснение:

Периметр рівнобічної трапеції дорівнює 46 см. Знайдіть бічну


Периметр рівнобічної трапеції дорівнює 46 см. знайдіть бічну сторону трапеції, якщо вона дорівнює се
4,8(57 оценок)
Ответ:
BarTGamE777
BarTGamE777
02.12.2020

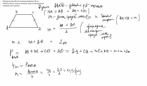
уявимо р/б трапецію АВСД.

Р=2АВ+ВС+АД=46

2АВ=46-(ВС+АД)

АВ=23-(ВС+АД)/2

(ВС+АД)/2-середня лінія

за умовою (ВС+АД)/2=АВ,тоді

АВ+АВ=23

2*АВ=23

АВ=11,5 см

4,6(7 оценок)
Открыть все ответы
Ответ:

площадь трапеции

площадь трапеции равна произведению полусуммы ее оснований на высоту:

s = ((ad + bc) / 2) · bh,

где  высота трапеции  — это перпендикуляр, проведенный из любой точки одного из оснований к прямой, содержащей другое основание.

доказательство.

рассмотрим трапецию  abcd  с основаниями  ad  и  bc, высотой  bh  и площадью  s.

докажем, что  s = ((ad + bc) / 2) · bh.

диагональ  bd  разделяет трапецию на два треугольника  abd  и  bcd, поэтому  s = sabd  + sbcd. примем отрезки  ad  и  bh  за основание и высоту треугольника  abd, а отрезки  bcи  dh1  за основание и высоту треугольника  bcd. тогда

sabc  = ad · bh / 2, sbcd  = bc · dh1.

так как  dh1  = bh, то  sbcd  = bc · bh / 2.

таким образом,

s = ad · bh / 2 + bc · bh = ((ad + bc) / 2) · bh.это можно только с доказательством

4,8(17 оценок)
Ответ:
полина2133
полина2133
02.12.2020
Нарисуй прямоугольник авсd. проведи две диагонали ас и вd. отметь центр буквой о. и начерти от "о" до каждой стороны по короткому отрезку.. так как пересечение диагоналей произойдет в центре прямоугольника, то отсюда следует, что можно просто сложить эти короткие отрезки и найти стороны.  ав=10+10=20см и так как они параллельны  сd , то соответственно равны между собой по свойству прямоугольника. вc=10+10=20см  и так как они параллельны аd  , то соответственно равны между собой по свойству прямоугольника. периметр равен 2(аb+bc)=2(20+20)=80. ответ: р=80.
4,5(9 оценок)
Это интересно:
Новые ответы от MOGZ: Геометрия
logo
Вход Регистрация
Что ты хочешь узнать?
Спроси Mozg
Открыть лучший ответ