Объяснение:
Дано: MNKL - параллелограмм.
AL=NC; BM=KD.
Доказать: ABCD - параллелограмм.
Доказательство:
MNKL - параллелограмм. ⇒ MN║KL и ML║NK.
1) Рассмотрим ΔMBN и ΔLKD.
KD=MB (по условию)
MN=LK (свойство параллелограмма)
∠1=∠2 (соответственные при NM║LK и секущей BL.
∠3=∠2 (накрест лежащие при LB║ND и секущей LK.
⇒∠1=∠3.
ΔMBN и ΔLKD (по двум сторонам и углу между ними, 1 признак)
⇒ LD=BN; ∠5=∠4 (как соответственные элементы)
2) AD=AL+LD
BC=BN+NC
⇒AD=BC
3) ∠5=∠4 (п.1)
∠5=∠6 (соответственные при BL║DN и секущей ВС)
⇒∠4=∠6 - накрест лежащие при ВС и AD и секущей ND;
⇒ ВС ║ AD.
4) AD=BC (п.2)
ВС ║ AD (п.3)
Если в четырехугольнике две противоположные стороны равны и параллельны, то этот четырехугольник - параллелограмм.
⇒ABCD - параллелограмм
1)72градуса
2)20,90,90,160
3)5,10
4)40
Объяснение:
1)у прямоугольника диагонали равны и прямоугольник это параллелограм из чего следует точка пересечения диагоналей(точка О) делит диагонали на 4 равных отрезка DO=OB=CO=AO из чего следует
треугольник АBO равнобедренный из чего следует что угол ABO = углу BAO = 36 из этого мы можем найти угол АОB = 180 - угол BAO - угол АBO = 180-72 =108
угол АОB = COD как вертикально аналогично с углами AOD и BOC
сумма 4 вертикальных углов 360 градусов из чего следует чтобы найти угол АОD нам надо (360-АОB-COD)/2=(360-216)/2=72градуса
2) у прямоугольной трапеции всегда 2 угла по 90 градусов и 20 градусов нам дан угол по условию а последний угол = 360-(первый угол+второй угол+третий угол) = 360-(90+90+20)=160
Сумма всех углов четырехугольника равна 360градусов
3) стороны параллелограма относятся 1:2 значит мы можем взять меньшую сторону за x, а большую за 2x
у параллеграма противоположные стороны равны и нам дан периметр из чего следует уравнение
x+x+2x+2x=30
6x=30
x=5
меньшая сторона равна 5
а большая следовательно 10
4)у параллелограма противоположные стороны параллельны!
нам дана биссектриса KE которая является секущей
MN и KP из чего следует что угол МЕK = углу EKP как накрест лежащие углы. Из чего следует треугольник KME равнобедренный, а по условию нам дана сторона KM =8 значит МЕ тоже равна 8
значит большая сторона параллелограма = МЕ + ЕN = 8+4=12
найдем периметр = 12×2 + 8×2=40



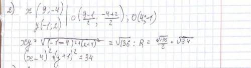
ответ: (x-4)^2+(y+1)^2=34