М
Молодежь
К
Компьютеры-и-электроника
Д
Дом-и-сад
С
Стиль-и-уход-за-собой
П
Праздники-и-традиции
Т
Транспорт
П
Путешествия
С
Семейная-жизнь
Ф
Философия-и-религия
Б
Без категории
М
Мир-работы
Х
Хобби-и-рукоделие
И
Искусство-и-развлечения
В
Взаимоотношения
З
Здоровье
К
Кулинария-и-гостеприимство
Ф
Финансы-и-бизнес
П
Питомцы-и-животные
О
Образование
О
Образование-и-коммуникации

9класс. тема: решение треугольников.
найдите наибольшую высоту треугольника, стороны которого равны 5 см, 29 см и 30 см.​

👇
Ответ:
рената1239305
рената1239305
10.10.2020

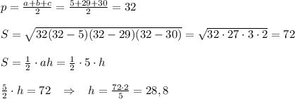
ответ:  h=28,8 см.

Объяснение:

Наибольшая высота треугольника та, которая проведена к наименьшей его стороне.

В данной задаче наибольшая высота треугольника проведена к стороне длиной 5 см.

Найдём площадь треугольника По формуле Герона и по формуле через высоту треугольника. Затем приравняем найденные величины и найдём неизвестную высоту h.

p=\frac{a+b+c}{2}=\frac{5+29+30}{2}=32\\\\S=\sqrt{32(32-5)(32-29)(32-30)}=\sqrt{32\cdot 27\cdot 3\cdot 2}=72\\\\S=\frac{1}{2}\cdot ah=\frac{1}{2}\cdot 5\cdot h\\\\\frac{5}{2}\cdot h=72\; \; \; \Rightarrow \; \; \; h=\frac{72\cdot 2}{5}=28,8

4,8(11 оценок)
Открыть все ответы
Ответ:

Sastd =  67,5+15√3  см².

Объяснение:

Площадь боковой поверхности пирамиды ASTD - это сумма площадей боковых граней ATS, ADS и ATD, так как по принятому обозначению пирамиды ее вершина обозначается первой.

Площадь грани ADS (правильного треугольника) равна

Sads = √3*а²/4  = √3*100/4 = 25√3 см².

Площадь грани ATD (прямоугольного треугольника) равна

Satd = (1|2)*AT*AD = 30 см².

Площадь грани ATS равна

Sasb = Sads = 25√3 см², так как площади граней равны.

Площади треугольников АST и BST имеют общую высоту (высоту грани ASB) и относятся как стороны, к которым проведена эта высота, то есть Sats/Sbts = 3/2. А так как Sasb = Sats+Sbts, то

Sats/Sasb = 3/5. тогда

Sats = (3/5)*Sasb = (3/5)*25√3 = 15,5 см².

Площадь боковой поверхности пирамиды ASTD равна:

Sastd = 25√3 + 30 + 37,5 = 67,5+15√3  см².

P.S. На всякий случай:

Площадь грани STD можем найти по Герону.

По теореме косинусов в треугольнике AST:

ST² = √(AT²+AS²-2*AT*AS*Cos60). (угол SAT = 60, так как грани - правильные треугольники). Тогда

ST = √(136-2*AT*AS*(1/2)) = √76.

DT = √(AT²+AD²) = √136.

SD = 10.

Полупериметр равен (10+√136+√76)/2 и по Герону:

Sstd = √((10+√136+√76)*(10+√76-√136)*(10+√136-√76)*(√136+√76-10))/4  или

Sstd = √((10+√76)²-136)*(136-(10-√76)²)/4  или

Sstd = √((20√76+40)*(20√76-40))/4 или

Sstd = √((30400-1600)/4 = √28800/4 = 120√2/4 =30√2.


Точка т лежит на ребре ав правильной пирамиды sabcd, длина каждого ребра которой равна 10 см, at: tb
4,8(82 оценок)
Ответ:
Алия0051
Алия0051
10.10.2020
1) градусная мера внешнего угла равна сумме градусных мер двух углов не смежных с ним. Углы A и B не смежных с улом C значит он равен 130 градусам.
ответ: 130 градусов
2) есть свойство что градусная мера двух любых смежных углов в треугольнике равна 180 градусов
если представить что он равносторонний то все его смежные углы должны быть либо 155 градусов( тогда ни одна сумма двух смежных углов не будет равна 180 градусов значит это отложим) либо 80 градусов ( также не совпадает со свойством) если прикинуть что он равнобедренный то есть два варианта расположения смежных углов ( два из них должны быть равны) 155;155;80 или 80;80;155 оба варианта не соответствуют свойству( не одна сумма смежных углов не равна 180 градусам) остался только 1 вариант он РАЗносторонний.
ответ: треугольник РАЗносторонний.
4,7(61 оценок)
Новые ответы от MOGZ: Геометрия
logo
Вход Регистрация
Что ты хочешь узнать?
Спроси Mozg
Открыть лучший ответ