Объяснение: смотрите на файле

ответ:8
Объяснение: введём обозначения: пусть большая наклонная c₁=17, её проекция а₁; меньшая наклонная с₂=10, её проекция а₂ ; расстояние от точки до плоскости обозначим b. 1)Тогда по условию а₁ - а₂ =9 , значит а₁=9 + а₂ 2)По теореме Пифагора из большего прямоугольного треугольника b²= 17²- (9+a₂)²=208-18a₂ -a₂² Из меньшего прямоугольного треугольника b²= 100-а₂². Левые части этих равенств равны, значит и правые равны 208-18a₂ -a₂² = 100 - а₂² 18a₂=108 а₂=6. Найдём b²= 100-а₂²=100-36=64 b=8
-Чому дорівнює сума кутів трикутника? 180 градусів
- Який кут називається зовнішнім? Зовнішній кут — це кут, суміжний з кутом даного трикутника.
- Чому дорівнює градусна міра зовнішнього кута? Сумі градусних мір двох інших внутрішніх кутів.
- Яка сторона трикутника є найбільшою? Та, яка лежить навпроти найбільшого кута.
- Нерівність трикутника.
- Який трикутник є прямокутним? Той, у якого кут 90 градусів.
- Як називаються сторони прямокутного трикутника? Катети та гіпотенуза.
- Чому дорівнює сума його гострих кутів? 90 градусів
- Чому дорівнюють кути рівнобедреного прямокутного трикутника? 45,45,90
- Ознаки рівності прямокутних трикутників
якщо дві сторони та кут між ними одного трикутника дорівнює двом сторонам а куту між ними іншого, то ці трикутники рівні.
якщо сторона та два прилеглих до неї кути одного трикутника рівні стороні та двом прилеглим до неї кутам іншого, то ці трикутники рівні
якщо три сторони одного трик рівні трьом сторонам іншого, то ці трик рівні.
- Властивість катете, що лежить напроти кута 30. Той катет дорівнює половині гіпотенузи.
Де знайти завдання 3?
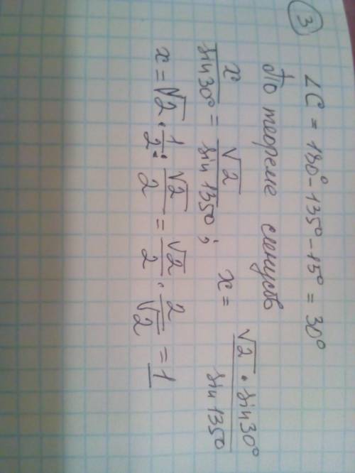
Объяснение:
как то так, не уверен конечно на все 100, но по другому тут никак.