М
Молодежь
К
Компьютеры-и-электроника
Д
Дом-и-сад
С
Стиль-и-уход-за-собой
П
Праздники-и-традиции
Т
Транспорт
П
Путешествия
С
Семейная-жизнь
Ф
Философия-и-религия
Б
Без категории
М
Мир-работы
Х
Хобби-и-рукоделие
И
Искусство-и-развлечения
В
Взаимоотношения
З
Здоровье
К
Кулинария-и-гостеприимство
Ф
Финансы-и-бизнес
П
Питомцы-и-животные
О
Образование
О
Образование-и-коммуникации
AnDrejk4
AnDrejk4
13.07.2021 06:02 •  Геометрия

Ребята помгите В шаре, радиус которого равен 9см цилиндрическое отверстие вдоль его диаметра. Вычислить объём оставшейся части шара, если радиус отверстия равен 5,4см. Значение числа π в вычислениях округлить до 3.
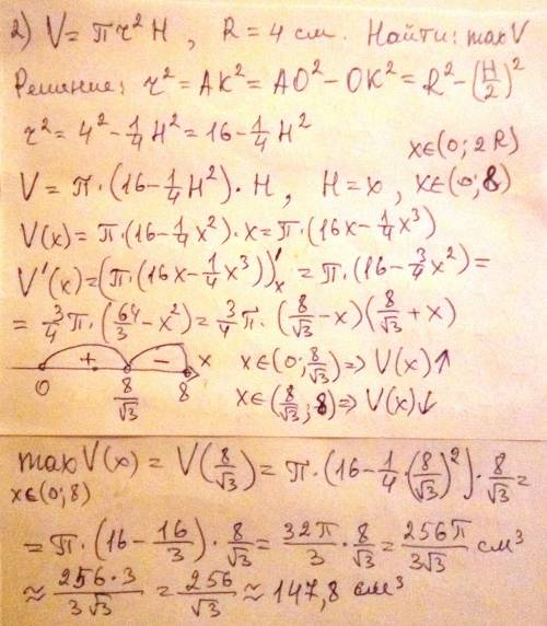
2. Вычислить радиус основания r и высоту h цилиндра наибольшего объёма, который можно вписать в шар радиусом 4 см.

r=

h=

👇
Ответ:
fgdgtdgg
fgdgtdgg
13.07.2021

1) V≈1492,992 см³

2) h=8/√3 см, r=32π/3 см, V≈147,8 см³

Объяснение:

На рисунке показано сечение шара плоскостью, проходящей через ось цилиндра


Ребята помгите В шаре, радиус которого равен 9см цилиндрическое отверстие вдоль его диаметра. Вычисл
Ребята помгите В шаре, радиус которого равен 9см цилиндрическое отверстие вдоль его диаметра. Вычисл
4,5(75 оценок)
Открыть все ответы
Ответ:
VasuHnoSasHHa
VasuHnoSasHHa
13.07.2021
Середины сторон четырёхугольника являются вершинами параллелограмма (теорема Вариньона).
(Док-во: рассмотрим треугольники, образованные сторонами трапеции и диагоналями как основаниями. Средняя линия треугольника параллельна основанию и равна его половине. Средние линии треугольников с общим основанием параллельны и равны. Если в четырехугольнике противоположные стороны попарно параллельны или равны, четырехугольник является параллелограммом.)

Диагонали равнобедренной трапеции равны. Диагонали данной трапеции перпендикулярны по условию. Если в четырехугольнике диагонали равны и перпендикулярны, параллелограмм Вариньона является квадратом. Отрезок, соединяющий середины оснований равнобедренной трапеции, является ee высотой. Отрезок, соединяющий середины боковых сторон трапеции, является ее средней линией. Высота и средняя линия данной трапеции равны как диагонали квадрата.

Средняя линия равна 1 дм.
Найдите среднюю линию равнобедренной трапеции,диагонали которой перпендикулярны а ее высота равна 1
4,5(17 оценок)
Ответ:
fatyaa22
fatyaa22
13.07.2021
Дано: угол 1-угол 2=10°                                                                                 Найти: углы 1, 2, 3, 4.                                                                                   Решение: Пусть угол 2 - x, тогда угол 1 - x+10°.                                      x+x+(x+10°)+(x+10°)=360°                                                                      4x+20°=360°                                                                                         4x=360°-20°                                                                                         4x=340°                                                                                                 x=340°/4                                                                                                            x=85° - углы 2, 4                                                                                              2)85°+10°=95° - углы 1, 3.                                                                                ответ: углы 2, 4=85°, углы 1, 3=95°                                                  
4,8(77 оценок)
Это интересно:
Новые ответы от MOGZ: Геометрия
logo
Вход Регистрация
Что ты хочешь узнать?
Спроси Mozg
Открыть лучший ответ