М
Молодежь
К
Компьютеры-и-электроника
Д
Дом-и-сад
С
Стиль-и-уход-за-собой
П
Праздники-и-традиции
Т
Транспорт
П
Путешествия
С
Семейная-жизнь
Ф
Философия-и-религия
Б
Без категории
М
Мир-работы
Х
Хобби-и-рукоделие
И
Искусство-и-развлечения
В
Взаимоотношения
З
Здоровье
К
Кулинария-и-гостеприимство
Ф
Финансы-и-бизнес
П
Питомцы-и-животные
О
Образование
О
Образование-и-коммуникации
Allery
Allery
28.05.2023 16:18 •  Геометрия

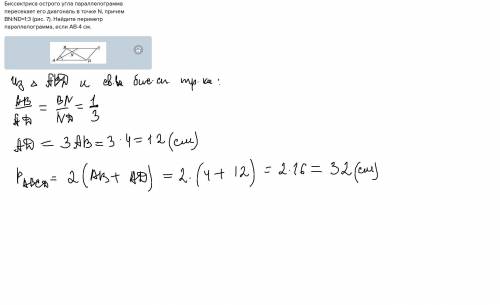
Биссектриса острого угла параллелограмма пересекает его диагональ в точке N, причем BN:ND=1:3 (рис. 7). Найдите периметр параллелограмма, если АВ-4 см.

👇
Ответ:
МаКсИк009
МаКсИк009
28.05.2023

Объяснение:

Биссектриса острого угла параллелограмма пересекает его диагональ в точке N, причем BN:ND=1:3


Биссектриса острого угла параллелограмма пересекает его диагональ в точке N, причем BN:ND=1:3 (рис.
4,7(40 оценок)
Открыть все ответы
Ответ:
Rozaroza1234
Rozaroza1234
28.05.2023

Если две прямые на плоскости пересечены секущей, то для их параллельности необходимо и достаточно, чтобы накрест лежащие углы были равны, или соответственные углы были равны, или сумма односторонних углов равнялась 180°.

1) BC || AD

∠BCA = ∠CAD — накрест лежащие

2) a || b

накрест лежащие углы равны, сумма односторонних равна 180°

3) m || n

m и n ⊥ k — они уже являются параллельными, но, к дополнению, равны и соответственные углы и сумма односторонних 180°, т.к. все углы по 90°.

4) MN || KP

∠NOM = ∠KOP как вертикальные ⇒ ΔMNO равен ΔPKO по первому признаку равенства треугольников (две стороны и угол между ними)

Пары углов (∠N = ∠K) и (∠M = ∠P) — как накрест лежащие

5) SR || PT

SR и PT ⊥ SP — они уже являются параллельными, но, к дополнению, ∠S = ∠P = 90°, ∠SMR = ∠PMR как вертикальные ⇒ ΔSRM равен ΔPTM по второму признаку равенства треугольников (сторона и два прилегающих угла) .

∠R = ∠T — как накрест лежащие

6) d || e

равны соответствующие углы (по 40° и 140°), и сумма односторонних равна 180° (140+40).

7) RS || MQ, RM || SQ

отрезок MS — общий для ΔSRM и ΔMQS. Данные треугольники равны по первому признаку равенства треугольников:

∠RSM = ∠QMS — как накрест лежащие при RS || MQ

∠RMS = ∠QSM — как накрест лежащие при RM || SQ

8) m || n

равны соответствующие углы (по 36° и 144°), и сумма односторонних равна 180° (144+36).

9) a || b

равны накрест лежащие углы (по свойству биссектрисы угла и равнобедренного треугольника)

10) PQ || MN, PM || QN

отрезок PN — общий для ΔPQN и ΔNMP. Данные треугольники равны по первому признаку равенства треугольников:

∠QPN = ∠MNP — как накрест лежащие при PQ || MN

∠QNP = ∠MPN — как накрест лежащие при PM || QN

11) BA || DC

∠BEA = ∠CED как вертикальные ⇒ ΔBEA равен ΔCED по первому признаку равенства треугольников (две стороны и угол между ними)

Пары углов (∠EDC = ∠EAB) и (∠EBA = ∠ECD) — как накрест лежащие

12) m || n

равны накрест лежащие углы (по свойству биссектрисы угла и равнобедренного треугольника)

13) MS || FQ

MS — биссектриса ∠NMQ. Угол ∠NMQ — внешний для вершины M равнобедренного треугольника MFQ. Внешний угол треугольника равен сумме двух углов треугольника, не смежных с ним ⇒ ∠MFQ = ∠MQF = ∠NMS = ∠SMQ.

∠SMQ = ∠MQF — как накрест лежащие

14) BC || AD, BA || CD

Пары углов (∠BOA = ∠DOC) и (∠BOC = ∠DOA) как вертикальные ⇒ ΔBOA равен ΔDOC и ΔBOC = ΔDOA по первому признаку равенства треугольников.

∠OBC = ∠ODA и ∠OCB = ∠OAD — как накрест лежащие при BC || AD

∠OBA = ∠ODC и ∠OAB = ∠OCD — как накрест лежащие при BA || CD

4,4(59 оценок)
Ответ:
Sveto4ka342
Sveto4ka342
28.05.2023

13

Объяснение:

DC⊥(ABC), ∠ABC=150°, CB=10, CD=12

DC⊥(ABC), BC∈(ABC)⇒DC⊥BC

Опустим из точки С перпендикуляр на прямую АВ. Очевидно, то что основание этого перпендикуляра Е будет принадлежать не отрезку АВ , а его продолжению за точку В. Это из-за того что ∠ABC=150°-тупой.

∠СВЕ=180°-∠ABC=180°-150°=30°, ∠СЕВ=90°⇒СЕ=0,5ВС=0,5·10=5

∠DСЕ=90°⇒DЕ²=СЕ²+DС²=5²+12²=169⇒DЕ=13

DC⊥(ABC), Е∈(ABC)⇒отрезок СЕ- орт.проекция отрезка DЕ

CЕ⊥АB⇒DЕ⊥АВ⇒DЕ-отрезок определяющий расстояние от точки D до прямой АВ.

Достоверность требуемого построения доказана по ходу решения задачи.


Треугольник АВС, СD ⊥ АВС. Найдите расстояние от точки D...
4,5(93 оценок)
Это интересно:
Новые ответы от MOGZ: Геометрия
logo
Вход Регистрация
Что ты хочешь узнать?
Спроси Mozg
Открыть лучший ответ