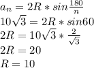
Вспомним: В прямоугольном треугольнике высота, проведенная из прямого угла, есть среднее пропорциональное между отрезками, на которые она делит гипотенузу. Следовательно, наша задача построить прямоугольный треугольник с высотой, которая делит гипотенузу на отрезки 3 см и 4 см.
Построение: На произвольной прямой чертим отрезок АН=3 см, продлеваем его на НВ=4 см.
Отрезок АВ равен сумме заданных отрезков. Общепринятым методом делим АВ пополам, середину обозначим т.О. Циркулем чертим из О, как из центра, окружность радиуса АО=ОВ. Из т.Н возводим перпендикуляр. Точку его пересечения с окружностью отметим С. Треугольник АВС - прямоугольный ( т.к. вписанный угол АСВ=90°, т.к. опирается на диаметр построенной окружности), его высота СН - среднее пропорциональное отрезков АН=3 см и ВН=4 см, (Из подобия треугольников АСН и ВСН следует отношение СН:АН=ВН:СН⇒ СН²=АН•ВН)
1)
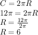
S=a², отсюда а=√S. a=√36=6см
Т.к. диагональ квадрата является диаметром описанной окружности, то R=1/2*d
По т. Пифагора
d²=2a²
d²=2*6²
d=√72
d=6√2
R=(6√2)/2=3√2
2)
3)
т.к. окружность вписана в квадрат, то
4)
5)
Т.к. треугольник правильный, то все его стороны равны, отсюда
Воспользуемся формулой