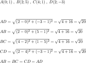
A(0;1) , B(2;5) , C(4 ;1) ; D(2; - 3) .
Док-ть четырехугольник ABCD ромб.
Объяснение:
Если диагонали четырехугольника взаимно перпендикулярны и точкой пересечения делятся пополам, то это ромб.
Координаты середины AC : O₁ (2 ;1 )
Координаты середины BD: O₂ (2 ;1 )
середины совпадают O₁ ≡ O₂
AC ( 4; 0) * * * (4-0 ; 1 - 1) * * *
BD ( 0 ; -8) * * * (2 -2 ; -3 -5) * * *
Скалярное произведения векторов AC и BD :
AC * BD = 4*0 +0*(-8) = 0 ⇒ AC ⊥ BD .
2.Рассмотрим параллелограмм MKNZ.
MO = ON, KO = OZ т.к. диагонали параллелограмма в точке пересечения делятся пополам
MA = AO, OC = CN по условию.
AO = MO : 2, OC = ON : 2 По условию.
MO = ON Из этого следует, что AO = OC
KB = BO, OD = DZ по условию.
BO = KO : 2, OC = OZ : 2 По KO = OZ Из этого следует, что BO = OD
Рассмотрим четырёхугольник ABCD
Диагональ BD в точке О делит диагональ AC на 2 равных отреДиагональ AC в точке О делит диагональ BD на 2 равных отрезка
ответ: Четырёхугольник ABCD является параллелограммом т.к. его диагонали делятся пополам в очке пересечения
3.Решение:
Средняя линия треугольника равна половине основания треугольника, следовательно основание треугольника равно: 7*2=14 (м) , т.к. меньшее основание образовавшейся трапеции, есть средняя линия треугольника, равная 7м
Зная что средняя линия треугольника делит боковые стороны трегольника пополам, боковые стороны треугольники равны:
- первая 5*2=10(м)
-вторая 6*2=12(м)
Отсюда:
периметр треугольника равен: 14+10+12=36(м)
ответ: Р=36м
4......
Это естественно не мой ответы :)


Дано : ΔABC остроугольный
AK ⊥ BC ; BD ⊥ AC ; AH =BC , H = AK ∩ BD ( H - точка пересечения высот)
∠BAC -?
ответ: 45° .
Объяснение:
Прямоугольные треугольники HDA и CDB равны ( третий признак равенства _ по гипотенузе и острому углу )
ΔHDA = ΔCDB
* * * ∠HDA = ∠BDC = 90 ° * * *
AH = BC ( гипотенузы по условию )
∠AHD =∠BCD углы со взаимно перпендикулярными сторонами : AH⊥ BC ; HD ⊥ AC (снова по условию) ,
следовательно AD = BD , т.е. прямоугольный треугольник ΔADB равнобедренный ⇒∠BAC = ∠ABC = 45° .
( ! Равенство второго пара катетов: HD = CD можно использовать при построения правильного чертежа. )
* * * Если гипотенуза и острый угол одного треугольника соответственно равны гипотенузе и острому углу другого треугольника, то такие прямоугольные треугольники равны ( аналог второго признака равенства для "обычных "треугольников" ) * * *
* * * AK ⊥ BC ⇔ AH⊥ BC ; BD ⊥ AC ⇔ HD ⊥ AC ))) * * *
Если все стороны четырёхугольника равны, то данный четырёхугольник является ромбом.
Заданный четырёхугольник - ромб .