М
Молодежь
К
Компьютеры-и-электроника
Д
Дом-и-сад
С
Стиль-и-уход-за-собой
П
Праздники-и-традиции
Т
Транспорт
П
Путешествия
С
Семейная-жизнь
Ф
Философия-и-религия
Б
Без категории
М
Мир-работы
Х
Хобби-и-рукоделие
И
Искусство-и-развлечения
В
Взаимоотношения
З
Здоровье
К
Кулинария-и-гостеприимство
Ф
Финансы-и-бизнес
П
Питомцы-и-животные
О
Образование
О
Образование-и-коммуникации

Существует ли треугольник у которого у которого стороны 13 12 и 5 см ответ обосновать полностью

👇
Ответ:
Alinazonova
Alinazonova
01.12.2020

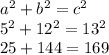
Существует так как это прямоугольный треугольник

Объяснение:

Существует можно проверить так как по теореме Пифагора

a {}^{2} + b {}^{2} = c {}^{2} \\ 5 {}^{2} + 12 {}^{2} = 13 {}^{2} \\ 25 + 144 = 169

4,8(16 оценок)
Открыть все ответы
Ответ:
katyvolkova81
katyvolkova81
01.12.2020

Внешний угол треугольника - это угол, смежный с внутренним углом треугольника.

Т.к. треугольник прямоугольный, то один из углов равен 90°, тогда сумма острых его углов тоже равна 90°. Угол, смежный с прямым углом, тоже прямой.

По условию один из внешних углов равен 120°, тогда смежный с ним внутренний равен 180° - 120° = 60°. Тогда втрой острый угол прямоугольного треугольника равен 90° - 60° = 30°.

Таким образом, прямоугольный треугольник имеет углы 90°, 60° и 30°.

Наибольшая сторона лежит против наибольшего угла, т.е. против прямого угла, и эта сторона - гипотенуза.

Наименьшая сторона лежит против наименьшего угла, т.е. - это катет, лежащий против угла в 30°.

Есть такое свойство катета прямоугольного треугольника, лежащего против угла в 30°: катет, лежащий против угла в 30°, равен половине гипотенузы.

По условию сумма наибольшей и наименьшей сторон прямоугольного треугольника равна 18 см, т.е. это сумма катета, лежащего против угла в 30° и гипотенузы.

Пусть катет равен х см, тогда гипотенуза равна (2х) см. Составим и решим уравнение:

х + 2х = 18,

3х = 18,

х = 18 : 3,

х = 6.

Значит, катет равен 6 см, тогда гипотенуза равна 2 · 6 = 12 (см)

ответ: 12 см и 6 см.

4,8(74 оценок)
Ответ:
ArtyomFoshan
ArtyomFoshan
01.12.2020

Дано: ΔАВС - прямоугольный, ∠С=90°, ∠ДВС=120°, АВ+ВС=24 см.

Найти АВ, ВС.

По свойству смежных углов ∠ДВА+∠СВА=180°, тогда

∠СВА=180-∠ДВС=180-120=60°.

По свойству острых углов прямоугольного треугольника

∠А=90-∠СВА=90-69=30°

В треугольнике против большей стороны лежит больший угол, поэтому АВ - большая сторона. Против меньшей стороны лежит меньший угол, поэтому ВС - меньшая сторона.

ВС=1\2 АВ по свойству катета, лежащего против угла 30°.

Составим уравнение: АВ+1\2 АВ = 24;  1,5 АВ = 24;  АВ=16 см.

ВС=16:2=8 см.

ответ: 8 см, 16 см.


Один из внешних углов прямоугольного треугольника равен 120 градусов ,найдите большую и меньшую стор
4,6(91 оценок)
Это интересно:
Новые ответы от MOGZ: Геометрия
logo
Вход Регистрация
Что ты хочешь узнать?
Спроси Mozg
Открыть лучший ответ