М
Молодежь
К
Компьютеры-и-электроника
Д
Дом-и-сад
С
Стиль-и-уход-за-собой
П
Праздники-и-традиции
Т
Транспорт
П
Путешествия
С
Семейная-жизнь
Ф
Философия-и-религия
Б
Без категории
М
Мир-работы
Х
Хобби-и-рукоделие
И
Искусство-и-развлечения
В
Взаимоотношения
З
Здоровье
К
Кулинария-и-гостеприимство
Ф
Финансы-и-бизнес
П
Питомцы-и-животные
О
Образование
О
Образование-и-коммуникации
Lena5737488
Lena5737488
17.11.2020 11:44 •  Геометрия

Знайдіть площу трапеції зображеної на малюнку, якщо площа 1
клітинки дорівнює 1 см2​

👇
Ответ:
svetasan76
svetasan76
17.11.2020
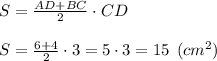
більша основа AD = 6 смменша основа BC = 4 смвисота CD = 3 см

Підставимо значення у формулу площі трапеції.

    S = \frac{AD + BC}{2}\cdot CD \\\\S = \frac{6 + 4}{2}\cdot 3 = 5\cdot 3 = 15 \:\: (cm^2)

Відповідь: Площа трапеції 12 см².

4,7(87 оценок)
Открыть все ответы
Ответ:
puzhalina77Frik
puzhalina77Frik
17.11.2020

Если катет и противолежащий острый угол одного прямоугольного треугольника соответственно равны катету и противолежащему острому углу другого прямоугольного треугольника, то такие треугольники равны.

   В прямоугольном треугольнике катету противолежит острый угол ( прямой противолежит гипотенузе) и сумма острых углов 180°-90°=90°.

   Поэтому: если противолежащий катету острый угол одного прямоугольного  треугольника равен противолежащем острому углу другого,  то прилежащие к равным катетам острые углы также равны 

К равным катетам этих треугольников прилежат равные углы: прямой ( по условию) и найденный острый. 

Такие прямоугольные треугольники равны по 2-му признаку равенства треугольников, т.е. по стороне и прилежащим к ней углам.  

4,8(37 оценок)
Ответ:
tim152
tim152
17.11.2020
Меньшее основание равнобедренной трапеции равно боковой стороне, а диагональ перпендикулярна к боковой стороне и равна 4. Найти площадь трапеции.
----------------------
Проведем прямую СЕ параллелльно АВ, и прямую ВЕ - параллельно СD. 
Так как боковые стороны и меньшее основание трапеции равны,
получим ромб ВСDЕ, диагонали в котором перпендикулярны друг другу. 
Диагонали ромба делят его углы пополам. 
Треугольники  ВСЕ=∆CDE- равнобедренные  и равносторонние.
  ВС=СD=ED. 
Точно так же является равносторонним  треугольник АВЕ. 
  МЕ=МС ( диагонали при пересечении делятся пополам). 
Отсюда высота равностороннего треугольника ВМ=ВD:2 =4:2=2   
Данная трапеция состоит из трех равных равносторонних треугольников. 
Площадь каждого из них, найденная через высоту, может быть найдена по формуле  
S∆ ВСЕ = h²:√3   
S∆ ВСЕ = 2²:√3=4:√3 
Вся площадь трапеции в три раза больше и равна
 Sтрап.=3*4:√3=12:√3
------------
Можно найти сначала сторону, затем по формуле площади равностороннего треугольника S= (a²√3):4
Это несколько продлит решение, а результат будет тем же.  

Меньшее основание равнобедренной трапеции равно боковой стороне, а диагональ перпендикулярна к боков
4,7(81 оценок)
Новые ответы от MOGZ: Геометрия
logo
Вход Регистрация
Что ты хочешь узнать?
Спроси Mozg
Открыть лучший ответ