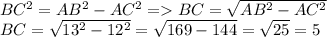
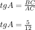
Задача: Дан ΔABC — прямоугольный, ∠C = 90°, AB = 13, AC = 12. Найти tg A.
Тангенс угла равен отношению противолежащего катета к прилежащему.
Найдем катет BC за т. Пифагора:

Найдем тангенс угла А:

1) Находим площадь ромба АВСД: S=d1*d2/2=10*24/2=120(см кв)
2)Находим АВ-сторону ромба.Для этого рассмотрим прямоугольный треугольник АОВ(О-точка пересечения диагоналей). АО=10:2=5(см), ВО=24:2=12(см).
По теореме Пифагора АВ=sqrt{5^2+12^2}=sqrt{169}=13(см)
3)Находим расстояние от точки О-точки пересечения диагоналей ромба до стороны ромба АВ. Оно равно высоте OH треугольника АОВ.
Площадь треугольника АОВ равна 1/4 площади ромба, т.е. 120:4=30(см кв).
S(AOB)=AB*OH/2
13*OH/2=30
13*OH=60
OH=60/13
OH=4 8/13 (см)
Дано: ABCD - ромб, BD=24см, AC=10см;
Найти: <A, <B, <C, <D;
Решение.
1) AB=BC=CD=AD, ВО=½BD, BO=12 и AO=½AC AO=5(по свойствам ромба), по теореме Пифагора AB²=BO²+AO², АВ²=12²+5², AB²=169, AB=13;
2)<A=<B=<C=<D, <ABO=<CBO, <BAO=<DAO(по свойствам ромба), sin ABO = AO/AB,
sin = 5/13, sin ABO≈0.38 <ABO≈68°, <BAO=180°-<BOA-<ABO, <BAO=180°-90°-68°=22°,
3) <A=44°, <B=136°, <C=44°, <D=136°
ответ: <A=44°, <B=136°, <C=44°, <D=136°.