М
Молодежь
К
Компьютеры-и-электроника
Д
Дом-и-сад
С
Стиль-и-уход-за-собой
П
Праздники-и-традиции
Т
Транспорт
П
Путешествия
С
Семейная-жизнь
Ф
Философия-и-религия
Б
Без категории
М
Мир-работы
Х
Хобби-и-рукоделие
И
Искусство-и-развлечения
В
Взаимоотношения
З
Здоровье
К
Кулинария-и-гостеприимство
Ф
Финансы-и-бизнес
П
Питомцы-и-животные
О
Образование
О
Образование-и-коммуникации
милена0071
милена0071
02.09.2020 16:42 •  Геометрия

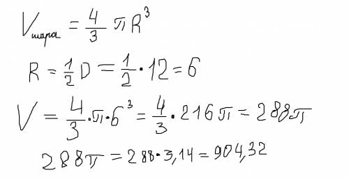
Найти объём шара, если диаметр равен 12

👇
Ответ:
artemluts007
artemluts007
02.09.2020

V=4/3*πR^3=1/6*πd^3=288π

4,4(71 оценок)
Ответ:
ershvik781
ershvik781
02.09.2020

решение задачи во вложении)))


Найти объём шара, если диаметр равен 12
4,4(39 оценок)
Открыть все ответы
Ответ:
анна2167
анна2167
02.09.2020
Вычислим длины сторон
AB = √((2+3)²+(3+2)²+(4-5)²) = √(5²+5²+1²) = √51
AC = √((2-3)²+(3+4)²+(4+4)²) = √(1²+7²+8²) = √114
ВС = √((-3-3)²+(-2+4)²+(5+4)²) = √(6²+2²+9²) = √121 = 11
Полупериметр
p = (√51 + √114 + 11)/2
Площадь по формуле Герона
S² = p*(p-a)*(p-b)*(p-c)
S² = (√51 + √114 + 11)/2 * ((√51 + √114 + 11)/2-√51) * ((√51 + √114 + 11)/2-√114) * ((√51 + √114 + 11)/2-11)
S² = 1/2⁴*(√51 + √114 + 11) * (-√51 + √114 + 11) * (√51 - √114 + 11) * (√51 + √114 - 11)
Первые две скобки
(√51 + √114 + 11) * (-√51 + √114 + 11) = (√114 + 11)² - (√51)² = 114 + 22√114 + 121 - 51 = 184 + 22√114
Вторые две скобки
(√51 - √114 + 11) * (√51 + √114 - 11) =
= 51 + √51*√114 - 11√51 
- √114*√51 - 114 + 11√114
+ 11√51 + 11√114 - 121
= - 184 + 22√114 
---
S² = (22√114)² - 184² = 484*114 - 33856 = 21320
S = 1/2⁴ * 21320 = 2665/2
S = √(2665/2)
4,4(79 оценок)
Ответ:
Alinok99
Alinok99
02.09.2020

Объяснение:1. Измерение отрезков

Две геометрические фигуры (отрезки, углы,

треугольники и др.) считаются равными, если их

можно наложить друг на друга так, чтобы они совпали.

Отрезки равны, если равны их длины.

Если точка лежит на отрезке , то A B C

+ = .

1. На прямой выбраны три точки , и , причём = 3, = 5. Чему может быть равно ?

(Есть разные возможности.)

B Если точка находится между точками и

A B C

3 5

, то это расстояние равно 3+5 = 8. Но возможен и

другой случай, когда находится вне отрезка .

Нарисовав картинку, убеждаемся, что в этом случае

B A C расстояние равно 5 − 3 = 2. C

3 2

2. На прямой выбраны четыре точки , , ,

, причём = 1, = 2, = 4. Чему может

быть равно ? Укажите все возможности.

B Сначала посмотрим, чему может быть равно

расстояние между точками и . Как и в предыдущей задаче, тут есть две возможности (точка

внутри или вне) | и получается либо 3, либо

1. Теперь мы получаем две задачи: в одной из них

= 3 и = 4, в другой | = 1, = 4.

Каждая имеет по два ответа, так что всего ответов

получается четыре: 4+3, 4−3, 4+1 и 4−1. ответ:

расстояние может равняться 1, 3, 5 или 7. C

3. На деревянной линейке отмечены три деле- 0 7 11

ния: 0, 7 и 11 сантиметров. Как отложить с её отрезок в (а) 8 см; (б) 5 см?

B Используя деления 7 и 11, легко отложить 4

сантиметра. Сделав это дважды, получим отрезок

в 8 сантиметров. Отложить 5 сантиметров немного

сложнее: умея откладывать 8 и 7, можно отложить

1 сантиметр. Сделав это 5 раз, получаем

4,4(31 оценок)
Это интересно:
Новые ответы от MOGZ: Геометрия
logo
Вход Регистрация
Что ты хочешь узнать?
Спроси Mozg
Открыть лучший ответ