М
Молодежь
К
Компьютеры-и-электроника
Д
Дом-и-сад
С
Стиль-и-уход-за-собой
П
Праздники-и-традиции
Т
Транспорт
П
Путешествия
С
Семейная-жизнь
Ф
Философия-и-религия
Б
Без категории
М
Мир-работы
Х
Хобби-и-рукоделие
И
Искусство-и-развлечения
В
Взаимоотношения
З
Здоровье
К
Кулинария-и-гостеприимство
Ф
Финансы-и-бизнес
П
Питомцы-и-животные
О
Образование
О
Образование-и-коммуникации
innesa260778
innesa260778
23.11.2021 00:45 •  Геометрия

Проверочная работа по теме трегонометрические уравнения ​

👇
Ответ:
daniliwotchesi
daniliwotchesi
23.11.2021

-1; 2

Объяснение:

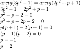
arctg(3 {p}^{2} - 1) = arctg(2 {p}^{2} + p + 1) \\ 3 {p}^{2} - 1 = 2 {p}^{2} + p + 1 \\ {p}^{2} - p - 2 = 0 \\ {p}^{2} + p - 2p - 2 = 0 \\ p(p + 1) - 2(p + 1) = 0 \\ (p + 1)(p - 2) = 0 \\ p = - 1 \\ p = 2

4,4(95 оценок)
Открыть все ответы
Ответ:
angelina2003po
angelina2003po
23.11.2021

1. За двома сторонами і кутом між ними (АВ=СД, ВД - спільна сторона, кути АВД і СДВ рівні).

Вообще, более правильным был бы ответ за двома катетами, так как это прямоугольные треугольники, но такого варианта нету.

2. За трьома сторонами (АВ=СД, ВС=АД, АС - спільна сторона).

3. АВСД - паралелограм, тому ВС||АД. За властивістю внутрішніх різносторонніх кутів, кут САД=ВСА=20°.

4. Трикутник KNL - рівнобедрений, оскільки KN=KL. KO перпендикулярно NL, тому KO - висота трикутника. За властивістю рівнобедреного трикутника, висота є медіаною і бісектрисою, тому KO - медіана трикутника KNL

4,6(30 оценок)
Ответ:
arturpushkin202453
arturpushkin202453
23.11.2021
1)г.
2)б.
3)а.
4)в.
5)я прикрепила картинку к этому заданию.Не забудь написать «Дано: треугольникABC; a=7;b=8;c=5. Найти : <А-?» ответ , кстати , в конце <А=60 градусов.(просто не поместилось.)
6)AB=10x​

​S=pr​

​p=13x+13x+10x2=18x​

​S=p(p−13x)(p−13x)(p−10x)‾‾‾‾‾‾‾‾‾‾‾‾‾‾‾‾‾‾‾‾‾‾‾‾‾‾‾√​ — по формуле Герона.

приравниваем два равенства и находим х

​10∗18x=p(p−13x)(p−13x)(p−10x)‾‾‾‾‾‾‾‾‾‾‾‾‾‾‾‾‾‾‾‾‾‾‾‾‾‾‾√​180x=18x∗5x∗5x∗8x‾‾‾‾‾‾‾‾‾‾‾‾‾‾‾‾‾√

​180x=60x2​

​x=3​

​AB=10x=30​

ответ: 30

7) если СК биссектриса, то по ее свойству если СЕ/СВ=3:1 то и КЕ:ВК=3:1
Обозначим ВК=у, КЕ=3у значит, ВЕ=4у
т.к. угол ВОЕ центральный для угла С, то он=120 и тогда ∠ВОК=60
ВМ=ВО*sin 60
BM=8√3*√3/2=12 ВЕ=4у=24 ⇒ у=6 3у=3*6=18

8) 1. Теорема синусов для треугольника КОР KP/sin KOP=OP/sin OKP sin OKP=3*sqrt2*sqrt2/2/5=3/5 cos^2(OKP)=1-sin^2(OKP)=(4/5)^2 Т.к. КОР тупой, то ОКР острый, cos OKP=4/5
2. sin OPK=sin(180-KOP- OKP)=sin(KOP+OKP)=sin KOP*cos OKP+cos KOP*sin OKP sin OPK=sqrt2/2*(4/5-3/5)=sqrt2/10
3. S(KMP)=2*S(KOP)=OP*KP*sin OPK=3*sqrt2*5* sqrt2/10=3

9) Если диагонали трапеции перпендикулярны, то площадь можно найти по следующим формулам: S-Һв квадрате, где һ-высота или S-(a+b)в квадрате/4, где а иb -основания Воспользуемся последней формулой!Т к дана длина ср линии трапеции, то можно найти сумму длин оснований трапеци: ср линия3 1/2(а+b); 5%31/2(а+b); (а+b)-10см Найдем S- (а+b)в квадрате/4 %3D10в квадрате/ 4-25см2

10)в.
4,6(13 оценок)
Это интересно:
Новые ответы от MOGZ: Геометрия
logo
Вход Регистрация
Что ты хочешь узнать?
Спроси Mozg
Открыть лучший ответ