М
Молодежь
К
Компьютеры-и-электроника
Д
Дом-и-сад
С
Стиль-и-уход-за-собой
П
Праздники-и-традиции
Т
Транспорт
П
Путешествия
С
Семейная-жизнь
Ф
Философия-и-религия
Б
Без категории
М
Мир-работы
Х
Хобби-и-рукоделие
И
Искусство-и-развлечения
В
Взаимоотношения
З
Здоровье
К
Кулинария-и-гостеприимство
Ф
Финансы-и-бизнес
П
Питомцы-и-животные
О
Образование
О
Образование-и-коммуникации

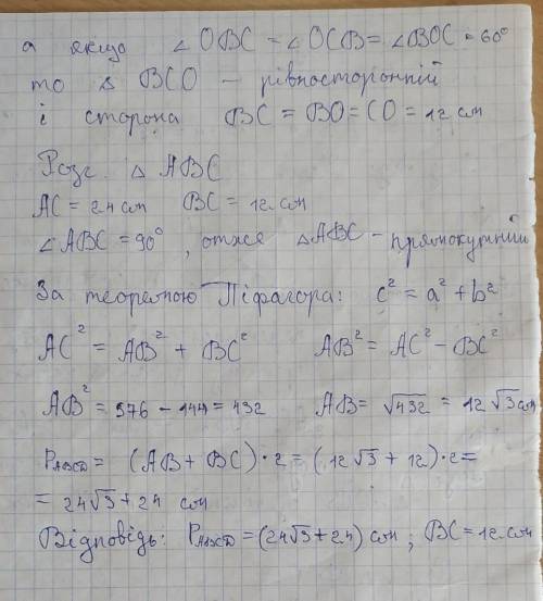
Діагональ прямокутника дорівнює 24 см, кут між діагоналями дорівнює
120° . Знайти меншу сторону і периметр прямокутника.

👇
Ответ:
MrHleb
MrHleb
16.05.2021

Вот решение..............


Діагональ прямокутника дорівнює 24 см, кут між діагоналями дорівнює 120° . Знайти меншу сторону і пе
Діагональ прямокутника дорівнює 24 см, кут між діагоналями дорівнює 120° . Знайти меншу сторону і пе
4,8(87 оценок)
Открыть все ответы
Ответ:
asdsssssssssss124
asdsssssssssss124
16.05.2021
Условие дано не полностью. Это одна из задач по готовым рисункам. 
Правильно: АВСD- равнобедренная трапеция. AD=15 см, BC=5. диагонали AC и BD пересекаются в точке О под прямым углом. Найти высоту ЕС. 
-------------------------------------
Вариант решения 1) 
Проведем через вершину С параллельно АВ прямую до пересечения с продолжением АD в точке К. 
Четырехугольник ВСКD - параллелограмм ( ВС║АК по условию, СК║ВD по построению). Следовательно, DК=ВС=5.
В равнобедренной трапеции диагонали равны. 
Так как СК║ВD,  то ∠АСК =∠АОD как соответственные при пересечении параллельных прямых секущей.  
 Следовательно, треугольник АСК прямоугольный равнобедренный, его высота, как высота равнобедренного треугольника, является его медианой, 
Медиана прямоугольного треугольника равна половине гипотенузы. 
Значит, СЕ=АЕ=ЕК. 
АD+DK=15+5=20
CE=20:2=10 см
                                 * * *
Вариант решения 2)
В равнобедренной трапеции диагонали равны и при пересечении образуют подобные треугольники, основания которых - основания трапеции. 
Треугольник ВОС - равнобедренный прямоугольный, его высота является медианой и по свойству медианы прямоугольного треугольника равна половине основания. 
h₁ ∆ ВОС=2,5 см
Аналогично высота ∆ АОD h₂=15:2=7,5 см
Высота трапеции равна сумме высот треугольников ВОС и АОD и равна СЕ. 
СЕ=h₁+h₂=2,5+7,5=10 см. 



Авсd-трапеция. ad=15 см, bc=5. диагонали ac и bd,ec-высота, угол ced-прямой, угол на пересечении диа
4,7(73 оценок)
Ответ:
крис903
крис903
16.05.2021
Задача решается только при условии, что трапеция равнобочная, т.е АВ = СД. 
поскольку угол Д-60гр., то угол САД равен 30 градусов (180-90-60), 
известно, что катет лежащий против угла в 30 гр,равен половине гипотенузы, т.е АД. 
Далее, расмотрим треугольник АВС- он равносторонний, поскольку углы САД и ВСА равны, и углы САД и САВ тоже равны, поскольку АС- биссектриса. 
Отсюда ясно, что верхнее основание и боковые стороны равны- обозначим их Х 
А нижнее основание будет 2Х. 
Тогда систавин и решим уравнение 
35= Х+Х+Х+2Х= 5Х 
Х= 7
4,5(41 оценок)
Новые ответы от MOGZ: Геометрия
logo
Вход Регистрация
Что ты хочешь узнать?
Спроси Mozg
Открыть лучший ответ