М
Молодежь
К
Компьютеры-и-электроника
Д
Дом-и-сад
С
Стиль-и-уход-за-собой
П
Праздники-и-традиции
Т
Транспорт
П
Путешествия
С
Семейная-жизнь
Ф
Философия-и-религия
Б
Без категории
М
Мир-работы
Х
Хобби-и-рукоделие
И
Искусство-и-развлечения
В
Взаимоотношения
З
Здоровье
К
Кулинария-и-гостеприимство
Ф
Финансы-и-бизнес
П
Питомцы-и-животные
О
Образование
О
Образование-и-коммуникации
mukaseevdaniil1
mukaseevdaniil1
28.02.2022 14:20 •  Геометрия

Геометрия 7 к. Тестовая часть.

👇
Ответ:
Фприт
Фприт
28.02.2022

на фото

Объяснение:


Геометрия 7 к. Тестовая часть.
4,4(17 оценок)
Ответ:
krit3
krit3
28.02.2022

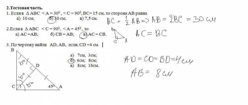
ответ:1б

Объяснение:1)катер, що лежить навпроти гострого кута 30 градусів дорівнює половині гіпотенузи

2)якщо два кури трикутника рівні, то такий трикутнику рівнобедрений

3)кут В = куту А - трикутнику рівнобедрений

АС = СВ

Кут DCB = 90 - 45 = 45

СД = ДВ,

у РІВНОБЕДРЕНОМУ трикутнику висота проведена до основи є медіаною.

ВД=ДА

ВД=4

АВ = 8

4,5(67 оценок)
Открыть все ответы
Ответ:
akotkina1
akotkina1
28.02.2022
Рисунок вам нарисовала. Там все ясно-понятно. 
Треугольник FAB равносторонний. Все стороны равны, все углы по 60, такой вывод делаем из условия. Сторону этого треугольника обозначаем х.
Δ FMA: М = 90 FM - бисектриса, медиана, высота
FM = хsina = x√3/2
Чтобы найти угол между мимобегущими, нужно найти угол между паралельными им прямыми, которые пересекаются.
Перенесем AC в ML, это будет средняя линия треугольника ABC
Чтобы узнать AC найдем диагональ квадрата
d² = 2a²
Сторона у нас х
d² = 2x²
d = x√2
ML = x√2/2
ΔFMO₁ (O₁ = 90)
MO₁ = x√2/4
MO₁/FM = cos a = x√2/4/x√3/2 = √2/2√3 = √6/6
Не знаю, почему значение не табличное, может я ошиблась, но вроде все правильно было :) 
Через центр o квадрата abcd к его плоскости проведён перпендикуляр, на котором выбрана точка f так,
4,4(47 оценок)
Ответ:
Dashad27
Dashad27
28.02.2022

Объем конуса находят по формуле: V = 1/3 · Sосн · H, где Sосн - площадь основания, H - высота. В основании - круг, Sосн = πR², где R - радиус основания.

Пусть дан конус (см. рис.) . SО - высота, SВ - образующая, ОВ - радиус. По условию SО : SВ = 4 : 5 и V = 96π см³.

ΔSОВ - прямоугольный. Если принять, что SО = (4х) см, SВ = (5х) см, то по теореме Пифагора ОВ² = SВ² - SО² = (5х)² - (4х)² = 25х² - 16х² = 9х², откуда, учитывая, что длины сторон положительны, ОВ = 3х (см).

Подставляем полученные выражения в формулу объема:

V = 1/3 · πR² · H = 1/3 · π · ОВ² · SО = 1/3 · π · (3х)² · 4х = 12πх³ = 96π, т.е.

12πх³ = 96π,

х³ = 8,

х = 2.

Тогда ОВ = 3 · 2 = 6 (см), SB = 5 · 2 = 10 (см).

Площадь полной поверхности конуса равна:

Sполн = Sосн + Sбок = πR² + πRL = πR(R + L), где R - радиус основания, L - образующая конуса.

Значит, Sполн = π · ОВ · (ОВ + SВ) = π · 6 · (6 + 10) = 6π · 16 = 96π (см²).

ответ: 96 см².


Высота и образующая конуса относятся как 4: 5 , а объем конуса равен 96п см^3. найдите площадь полно
4,5(17 оценок)
Новые ответы от MOGZ: Геометрия
logo
Вход Регистрация
Что ты хочешь узнать?
Спроси Mozg
Открыть лучший ответ