
1. дан тр. ABC, BD медиана, тк треугольник равнобедренный, то BD делит его основание пополам. из этого AD=DC
2. тк треугольник равнобедренный, то медиана BD перпендикулярна к AC ( уг. ADB= уг BDC )
3. значит тр. ADC и BDC прямоугольные и равные ( BD общая, углы равны, AB=BC )
по теореме пифагора найдем AD тр ABD
AD^2= AB^2-BD^2
AD= корень кв. 13^2-12^2
AD=корень кв. 169-144
AD= корень кв. 25
AD=5
4. Значит AD=DC= 5 см AC=10см
5. Pтр= 13+13+ 10 =36 см
6. Sтр= 1/2 AC*BD
Sтр= 1/2* 10*12= 60 см
ответ: Sтр=60 , Pтр = 36
Відповідь:
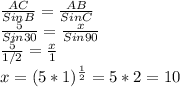
Гипотенуза АВ = 10 см
Пояснення:
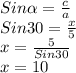
Внутренний угол В = 180°-150°=30°
Тогда по теореме синусов
Без использования теоремы синусов.
Поскольку синус острого угла - это отношение противоположной стороны к гипотенузе, запишем так
АВ = 10 см