М
Молодежь
К
Компьютеры-и-электроника
Д
Дом-и-сад
С
Стиль-и-уход-за-собой
П
Праздники-и-традиции
Т
Транспорт
П
Путешествия
С
Семейная-жизнь
Ф
Философия-и-религия
Б
Без категории
М
Мир-работы
Х
Хобби-и-рукоделие
И
Искусство-и-развлечения
В
Взаимоотношения
З
Здоровье
К
Кулинария-и-гостеприимство
Ф
Финансы-и-бизнес
П
Питомцы-и-животные
О
Образование
О
Образование-и-коммуникации
Angelina922
Angelina922
22.09.2020 19:47 •  Геометрия

Периметр ромба равен 36, а один из углов равен 30 ̊. Найдите площадь этого ромба.

👇
Ответ:
tkacheff2014
tkacheff2014
22.09.2020

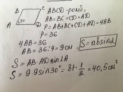
Дано: ABCD - ромб; P = 36; ∠B = 30°. Найти: S.

AB = BC = CD = DA = 36 / 4 = 9 см - одна сторона.

S = AB² * sin 30° = 9² * 1 / 2 = 81 / 2 = 40,5 см²

ответ: 40,5 см²

4,4(15 оценок)
Ответ:
stefaniiadr
stefaniiadr
22.09.2020

40,5см2

Объяснение:

Решение в приложении


Периметр ромба равен 36, а один из углов равен 30 ̊. Найдите площадь этого ромба.
4,4(2 оценок)
Открыть все ответы
Ответ:
vika3v
vika3v
22.09.2020

1. Построила на рисунке. Масштаб фотографии разный у всех, я взяла длину основания 4см и длину биссектрисы 3см. Свойством пользовалась тем, что в равнобедренном треугольнике биссектриса, проведённая к основанию, является его медианой. Построила медиану по алгоритму построения середины отрезка.

2. Треугольник равнобедренный, т.к. ВО⊥АС, угол АВО=СВО, АО=ОС. Можно измерить сторону и биссектрису. Всё соблюдается.

3. Задача будет иметь решение в том случае, если при построении сумма двух любых сторон треугольника будет больше длины третьей стороны. Т.е. основание не должно быть дано длиннее, чем сумма боковых сторон.


И ЛУЧШИЙ ОТВЕТ УМОЛЯЯЯЮЮ ВААААС
4,6(54 оценок)
Ответ:
miloradovich04
miloradovich04
22.09.2020

Объяснение:

1. Так как треугольник равнобедренный, в нем высота, проведенная к основанию, является и биссектрисой, и  медианой. Значит нам необходимо восстановить серединный перпендикуляр к основанию "а" и на нем отложить отрезок, равный длине биссектрисы "b". Соединив уонцы отрезка "а" с точкой конца отрезка "b" на серединном перпендикуляре, получим искомый треугольник.

2. На произвольной прямой откладываем циркулем отрезок АВ, равный данному отрезку "а". Из концов этого отрезка, как из центров, проводим окружности, радиусом больше половины отрезка "а". Соединив точки пересечения окружносткй, получаем серединный перпендикуляр к основанию "а". Откладываем на нем от основания отрезок, равный отрезку "b". Получаем точку С. Соединяем точки А и С, В и С => получаем искомый треугольник.

3. Треугольник равнобедренный, так как любая точка на серединном перпендикуляре равноудалена от концов отрезка, к которому провелен этот перпендикуляр. То есть АС = ВС. Основание этого треугольниеа равно "а", высоты = биссектриса = медиана = "b" по построению.

3. Задача имеет два решения, симметричных относительно прямой "а", независимо от значения отрезков "а" и "b".


И ЛУЧШИЙ ОТВЕТ УМОЛЯЯЯЮЮ ВААААС
4,7(82 оценок)
Это интересно:
Новые ответы от MOGZ: Геометрия
logo
Вход Регистрация
Что ты хочешь узнать?
Спроси Mozg
Открыть лучший ответ