М
Молодежь
К
Компьютеры-и-электроника
Д
Дом-и-сад
С
Стиль-и-уход-за-собой
П
Праздники-и-традиции
Т
Транспорт
П
Путешествия
С
Семейная-жизнь
Ф
Философия-и-религия
Б
Без категории
М
Мир-работы
Х
Хобби-и-рукоделие
И
Искусство-и-развлечения
В
Взаимоотношения
З
Здоровье
К
Кулинария-и-гостеприимство
Ф
Финансы-и-бизнес
П
Питомцы-и-животные
О
Образование
О
Образование-и-коммуникации
Миланахасик
Миланахасик
31.03.2021 03:08 •  Геометрия

В треугольнике abc со сторонами AB=4 BC=6 AC=7 проведены биссектрисы AK BL CM. НАЙДИТЕ ПЛОЩАДИ ТРЕУГОЛЬНИКА BKM к площади треугольника СKL

👇
Ответ:
leshakonovalov2
leshakonovalov2
31.03.2021

Найдём площадь треугольника по формуле Герона

p=\dfrac{a+b+c}{2}=\dfrac{4+6+7}{2}=8{,}5

S=\sqrt{p(p-a)(p-b)(p-c)}=\sqrt{8{,}5(8{,}5-4)(8{,}5-6)(8{,}5-7)}=\dfrac{3}{4}\sqrt{255}

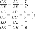
По свойству биссектрисы мы имеем

\dfrac{CK}{KB}=\dfrac{AC}{AB}=\dfrac{7}{4};\\ \\ \dfrac{AL}{CL}=\dfrac{AB}{BC}=\dfrac{4}{6}=\dfrac{2}{3};\\ \\ \dfrac{LO}{OK}=\dfrac{CL}{CK}=\dfrac{7}{6}

Определим отношение площадей треугольника АВС на CKL

\dfrac{S_{ABC}}{S_{CKL}}=\dfrac{AC\cdot BC\sin C}{CL\cdot CK\sin C}=\dfrac{5x\cdot 11y}{3x\cdot 7y}=\dfrac{55}{21}~~\Rightarrow~~ S_{CKL}=\dfrac{21S_{ABC}}{55}=\dfrac{63\sqrt{255}}{220}

Аналогично, определим отношение площадей треуг. ABC на BKM

\dfrac{S_{ABC}}{S_{BKM}}=\dfrac{AB\cdot BC\sin B}{MB\cdot BK\sin B}=\dfrac{13z\cdot11y}{6z\cdot4y}=\dfrac{143}{24}~\Rightarrow~ S_{BKM}=\dfrac{18\sqrt{255}}{143}

Окончательно имеем \dfrac{S_{BKM}}{S_{CKL}}=\dfrac{18\sqrt{255}/143}{63\sqrt{255}/220}=\dfrac{40}{91}.

ответ: 40 : 91.


В треугольнике abc со сторонами AB=4 BC=6 AC=7 проведены биссектрисы AK BL CM. НАЙДИТЕ ПЛОЩАДИ ТРЕУГ
4,7(32 оценок)
Открыть все ответы
Ответ:
арина1492
арина1492
31.03.2021
Внешний и внутренний угол треугольника это смежные углы , их сумма всегда =180 градусов
обозначим внутренний угол за х, тогда внешний=3х их сумма 180
х+3х=180
4х=180
х=45
внутренний угол =45
если речь шла о угле основания то второй угол основания тоже будет 45 , а третий угол 90 (это 180-45-45)

если речь шла о угле вверху то углы у основания равны
(180-45)/2=135/2=67,5

второе задание: ответ : 10 градусов, без рисунка сложно разобрать
решение в том что медиана прямоугольного треугольника, опущенная из вершины прямого угла,равна половине его гипотенузы (по теореме  такой) и сама медиана делит гипотенузу пополам, тобишь медиана делит треугольник на 2 равнобедренных угла
углу у оснований этих равнобедренных равны углам изначального треугольника т.е. 50 и 40 , там происходит нахлёст и их разность и есть ответ
4,7(80 оценок)
Ответ:
ivanow343536373839
ivanow343536373839
31.03.2021
Δ ABC - правильный ⇒ АВ=ВС=АС и ∠А=∠В=∠С=60°
DB=DA=DC=6 ⇒  равные наклонные имеют равные проекции
NB=NA=NC ⇒ N - центр описанной окружности

∠ADN=∠BDN=CDN=30°

Из прямоугольного треугольника АDN
R=AN=3 - катет против угла в 30° градусов равен половине гипотенузы.
H(пирамиды)=DN=√(6²-3²)=√27=3√3 cм.
По формуле нахождения радиуса R окружности, описанной около равностороннего треугольника cо стороной а:
R=(a√3)/3  легко найти сторону треугольника.

3=(a√3)/3  ⇒a=3√3 см.

S(ΔABC)=(1/2)·a·a·sin60°=(a²√3)/4

При а=3√3
S(ΔABC)=(27√3)/4  - площадь основания

Для равностороннего треугольника N- является и центром вписанной окружности

NL=NK=r

r=(a√3)/6=3/2
Из Δ DNL по теореме Пифагора апофема боковой грани

h=DL=√(DN²+NL²)=√(27+(9/4))=3√10/2.

S (бок)=(1/2)·Р ( осн.) ·Н=(1/2)·(9√3·)(3√3)=81/2=40,5  кв см.

О т в е т.3√3 см; 40,5 кв. см

Найдите площадь основания и площадь боковой поверхности правильной n-угольной пирамиды,если n=3,боко
4,6(60 оценок)
Это интересно:
Новые ответы от MOGZ: Геометрия
logo
Вход Регистрация
Что ты хочешь узнать?
Спроси Mozg
Открыть лучший ответ