дано :
OKLM-трапеция
OK=LM=8см
угол KMO =30°
угол K=120°, угол OKL=120°
KM- диагональ
найти : OM-?
угол M=углу MKL=30°
угол OKM=угол OKM+LKM
120°=угол OKM +30°
угол OKM=120°-30°=90°
угол OKM=90°
△OKM=O+угол OKM+угол M
180°=угол O+90°+30°
угол O=180-(90+30)=180-120=60°
угол O=60°
OK=1/2KM
8=1/2 OM
OM=8-1/2=16см
OM=16см
△KLM=угол MKL+уголL+уголKML
180°=30°+120°+ угол KLM
угол KLM =180-(30+120)=180-150=30°
угол KLM=30°
Т. к. угол KML=угол MKL=30°
KLM=равнобедренный
KL=LM=8см
KL=8см
ответ : OM=16см,KL=8см
Объяснение:
надеюсь
Обозначим данные прямые через l0 и l, данные точки на прямой l0 - через A0, B0, C0, данные точки на прямой l - через A, B, C. Пусть l1 - произвольная прямая, не проходящая через точку A. Возьмем произвольную точку O0, не лежащую на прямых l0 и l1. Обозначим через P0 центральное проектирование прямой l0 на прямую l1 с центром в точке O0, а через A1, B1, C1 - проекции точек A0, B0, C0. Пусть l2 - произвольная прямая, проходящая через точку A, не совпадающая с прямой l и не проходящая через A1. Возьмем некоторую точку O1 на прямой AA1 и рассмотрим центральное проектирование P1 прямой l1 на l2 с центром в O1. Обозначим через A2, B2, C2 проекции точек A1, B1, C1. Ясно, что A2 совпадает с A. Наконец, пусть P2 - проектирование прямой l2 на прямую l, которое в том случае, когда прямые BB2 и CC2 не параллельны, является центральным проектированием с центром в точке пересечения этих прямых, а в том случае, когда прямые BB2 и CC2 параллельны, является параллельным проектированием вдоль одной из этих прямых. Композиция P2°P1°P0 является требуемым проективным преобразованием.
Объяснение:
пример
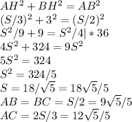
Дан треугольник ABC, AB = BC.
Пусть площадь треугольника равняется S.
Тогда
Отсюда
Проведём к основанию высоту BH = 3, которая также будет являтся медианой.
Отсюда
Треугольник ABH: (угол Н равен 90°) по теореме Пифагора: