М
Молодежь
К
Компьютеры-и-электроника
Д
Дом-и-сад
С
Стиль-и-уход-за-собой
П
Праздники-и-традиции
Т
Транспорт
П
Путешествия
С
Семейная-жизнь
Ф
Философия-и-религия
Б
Без категории
М
Мир-работы
Х
Хобби-и-рукоделие
И
Искусство-и-развлечения
В
Взаимоотношения
З
Здоровье
К
Кулинария-и-гостеприимство
Ф
Финансы-и-бизнес
П
Питомцы-и-животные
О
Образование
О
Образование-и-коммуникации
dashasupergirlolly
dashasupergirlolly
20.03.2021 04:07 •  Геометрия

решить 6 задач , напишите дано и решение полное с формулами!


решить 6 задач , напишите дано и решение полное с формулами!

👇
Ответ:
Vikzza
Vikzza
20.03.2021

Відповідь:

1)108см²,

2)52 cм²,

3)4,8cм²,

4)23,63cм²,

5)16см,

6)24см².

Пояснення:

1)S=1/2*18*12=9*12=108(cм²)

2)Провести висоту З вершини В до сторони АД. Утворився прямокутний трикутник з гіпотенузою 8 см. катет лежить проти кута 30°, h=1.2*8=4cм

S= a*h=13*4=52(cм²)

3)AD=BC=4 cм( протилежні сторони паралелограма рівні)

S= a*h=4*1,2=4,8(cм²)

4)S=(5.6+8.3)/2 *3.4=23,63(cм²)

5)

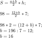
S=\frac{a+b}{2}*h;\\\\98=\frac{12+b}{2}*7;\\ \\98*2=(12+b)*7;\\b=196:7-12;\\b=16

6)Знайдемо другий катет за теорремою Піфагора:

10²= 6²+b²;

b²=100-36;

b=√64=8см.

S=1/2 a*b=1/2*6*8=3*8=(24 cм²)

4,7(11 оценок)
Открыть все ответы
Ответ:
margo1084
margo1084
20.03.2021
1. сначала рисуем основание и от одного из его концов, с циркуля, в сторону направления второй стороны, рисуем полукруг, равный по радиусу этой известной стороне.
2. Затем с циркуля с двух концов основания восстанавливаем перпендикуляры к самому основанию (как это делать Вы знаете).
3. С линейки отмеряем известную высоту на обоих перпендикулярах, начиная от основания.
4 Соединяем вершины высот прямой линией с линейки. Полученная линия параллельна основанию.
5. Место пересечения этой линии и полуокружности - это вершина нужного треугольника. Соединим её с концами основания.
6. С циркуля нарисуем второй полукруг к вершине от другого конца основания так, чтобы оба полукруга пересекались сверху и снизу. Соединим точки их пересечения. Получится высота треугольника.
4,4(81 оценок)
Ответ:
ayshahajiverdiyeva
ayshahajiverdiyeva
20.03.2021
Отрицательное: чрезмерное внесение удобрений в почву, разрушение почвенного покрова при добыче полезных ископаемых (образуются огромные карьеры).

Положительные: укрепление склонов оврага посадкой деревьев, поперечная вспашка на склонах оврагов, чтобы не было размыва водой при таянии снега и во время ливневых дождей, рекультивация земли ( восстановление земли после добычи полезных исколпаемых - карьеры засыпаются и производится высадка зеленых насаждений или же на местах карьеров создаются искусственные водоемы).
4,5(98 оценок)
Это интересно:
Новые ответы от MOGZ: Геометрия
logo
Вход Регистрация
Что ты хочешь узнать?
Спроси Mozg
Открыть лучший ответ