М
Молодежь
К
Компьютеры-и-электроника
Д
Дом-и-сад
С
Стиль-и-уход-за-собой
П
Праздники-и-традиции
Т
Транспорт
П
Путешествия
С
Семейная-жизнь
Ф
Философия-и-религия
Б
Без категории
М
Мир-работы
Х
Хобби-и-рукоделие
И
Искусство-и-развлечения
В
Взаимоотношения
З
Здоровье
К
Кулинария-и-гостеприимство
Ф
Финансы-и-бизнес
П
Питомцы-и-животные
О
Образование
О
Образование-и-коммуникации
arshavin1099
arshavin1099
05.11.2020 13:43 •  Геометрия

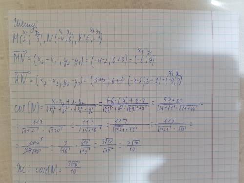
В треугольнике с вершинами в точках M(2; -3), N(-4; 6) K(5; -1)
определите косинус угла N​

👇
Ответ:
TheDanilDid
TheDanilDid
05.11.2020

ответ:cos(N)=3корень 10

Объяснение: в фото


В треугольнике с вершинами в точках M(2; -3), N(-4; 6) K(5; -1) определите косинус угла N​
4,4(11 оценок)
Открыть все ответы
Ответ:
Zylfia221
Zylfia221
05.11.2020
1) Внешний угол=уголA+уголC=106+72=178 
2) ΔABO=ΔBOC  ( т.к. AB=BC по свойству двух касательных провед из одной точки, AO=OC=r). ==>угол(ABO)=угол(CBO)=0.5*угол(ABC)=30 
OA перпендикулярно AB и OC перпендикулярно BC как радиусы проведенные к точке касания ==> ΔABO и ΔBOC- прямоугольные 
Т.к. угол ABO=30, угол(BAO)=90 ==> угол(BOA)=60.  Т.к. треугольники ABO и BOC равны то угол(BOA)=угол(BOC)=60 ==> угол(AOC)=120-угол между радиусами
3) ΔABC: уголB=40 ==> уголA=уголC=(180-40)/2=70
Т.к. треугольник АВС равнобедр то углы при основании равны, а значит угол(DAC)=угол(DCA)=70/2=35.5
Треугольник ADC- равнобедренный т.к. угол(DAC)=угол(DCA) ==> угол(ADC)=180-2*35.5=110
4,6(98 оценок)
Ответ:
VladimerGen
VladimerGen
05.11.2020
Внешние углы треугольника
Внешним углом треугольника при данной вершине называется угол, смежный с углом треугольника при этой вершине.
Теорема
Внешний угол треугольника равен сумме двух углов треугольника, не смежных с ним
Доказательство. Пусть ABC – данный треугольник. По теореме о сумме углов в треугольнике
∠ ABС + ∠ BCA + ∠ CAB = 180 º.
Отсюда следует
∠ ABС + ∠ CAB = 180 º - ∠ BCA = ∠ BCD
Теорема доказана. 
Из теоремы следует:
Внешний угол треугольника больше любого угла треугольника, не смежного с ним
4,8(34 оценок)
Это интересно:
Новые ответы от MOGZ: Геометрия
logo
Вход Регистрация
Что ты хочешь узнать?
Спроси Mozg
Открыть лучший ответ