М
Молодежь
К
Компьютеры-и-электроника
Д
Дом-и-сад
С
Стиль-и-уход-за-собой
П
Праздники-и-традиции
Т
Транспорт
П
Путешествия
С
Семейная-жизнь
Ф
Философия-и-религия
Б
Без категории
М
Мир-работы
Х
Хобби-и-рукоделие
И
Искусство-и-развлечения
В
Взаимоотношения
З
Здоровье
К
Кулинария-и-гостеприимство
Ф
Финансы-и-бизнес
П
Питомцы-и-животные
О
Образование
О
Образование-и-коммуникации
нюра42
нюра42
19.02.2023 08:42 •  Геометрия

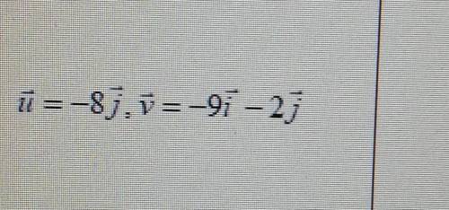
Найдите угол между векторами. ​


Найдите угол между векторами. ​

👇
Открыть все ответы
Ответ:
aktczzzzz
aktczzzzz
19.02.2023

АВСД трапеция АВ=СД, уголА=уголД, К-точка касания окружности на АВ, Т- на ВС, М-на СД, Е- на АД, АК=МД=18, ВК=СМ=8, АВ=СД=АК+ВК=18+8=26, АК=АЕ=18 - как касательные проведенные из одной точки к окружности, ВК=ВТ=8 - как касательные..., СМ=СТ=8 как касательные..., МД=ДЕ=18 как касательные, ВС=ВТ+СТ=8+8=16, АД=АЕ+ДЕ=18+18=36,

проводим перпендикуляры ВН и СЛ на АД, НВСЛ-прямоугольник ВС=НЛ=16,

треугольник АВН=треугольник ЛСД как прямоугольные по гипотенузе и острому углу, АН=ДЛ=(АД-НЛ)/2=(36-16)/2=10, треугольник АВН ВН²=АВ²-АН²=676-100=576, ВН=24- диаметр вписанной окружности, радиус=ВН/2=24/2=12

4,5(95 оценок)
Ответ:
ааа512
ааа512
19.02.2023
Отрезки касательных, проведённые из одной точки, равны, значит, одна боковая сторона равна 2+32 = 34, вторая равна ей, меньшее основание равно 2+2 = 4, большее равно 32+32 = 64. Проводим две высоты к большему основанию, а также диаметр, перпендикулярный к основанию. Высоты и перпендикуляр параллельны, кроме того, отрезки высот отсекают на большем основании три отрезка, два из которых соответственно равны, а третий равен меньшему основанию, т.е. равен 4. Значит, равные отрезки, на которые делят высоты большее основание равны 1/2*(64-4) = 30. Далее по теореме Пифагора находим высоту, т.е. катет прямоугольного треугольника, который равен √(34²-30²) = √(1156-900) = √256 = 16.
4,4(7 оценок)
Новые ответы от MOGZ: Геометрия
logo
Вход Регистрация
Что ты хочешь узнать?
Спроси Mozg
Открыть лучший ответ