М
Молодежь
К
Компьютеры-и-электроника
Д
Дом-и-сад
С
Стиль-и-уход-за-собой
П
Праздники-и-традиции
Т
Транспорт
П
Путешествия
С
Семейная-жизнь
Ф
Философия-и-религия
Б
Без категории
М
Мир-работы
Х
Хобби-и-рукоделие
И
Искусство-и-развлечения
В
Взаимоотношения
З
Здоровье
К
Кулинария-и-гостеприимство
Ф
Финансы-и-бизнес
П
Питомцы-и-животные
О
Образование
О
Образование-и-коммуникации
котик957
котик957
20.02.2020 01:14 •  Геометрия

1)найдите площадь поверхности прямой призмы, в основании которой лежит ромб с диагоналями, равными 5 и 12, и боковым ребром, равным 17. 2)площадь поверхности правильной треугольной призмы равна 6.какой будет площадь поверхности призмы,если все её ребра увеличить в восемь раз?

👇
Ответ:
jvhhvcx
jvhhvcx
20.02.2020

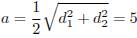
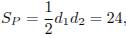
Сторона ромба выражается через его диагонали и как

Площадь ромба

Тогда площадь поверхности призмы равна

ответ: 248. 


1)найдите площадь поверхности прямой призмы, в основании которой лежит ромб с диагоналями, равными 5
1)найдите площадь поверхности прямой призмы, в основании которой лежит ромб с диагоналями, равными 5
1)найдите площадь поверхности прямой призмы, в основании которой лежит ромб с диагоналями, равными 5
4,5(12 оценок)
Открыть все ответы
Ответ:
MuBuHa
MuBuHa
20.02.2020

Даны точки:

x y z  

-3 5 -6 A

5 -2 4 B

0 4 3 C

-6 -3 0 D.    

5) Определяем векторы.

    x y z Модуль

AB = 8       -7    10 14,59452

CD = -6 -7 -3 9,69536.

Скалярное произведение равно:

              -48  +   49 +  -30    =  -29

Произведение модулей равно 141,4991166

cos fi = |-29|/141,4991166  = 0,204948.

fi = 1,364385 радиан  или 78,17351 градусов.

6)           x y z

AC = 3 -1 9

BD = -11 -1 -4

AC+BD = -8 -2 5

CB = 5 -6 1

Скал.пр.  -40 + 12 + 5 =  -23.

Векторное произведение векторов      

a × b = {aybz - azby; azbx - axbz; axby - aybx}      

 28 33 -14 Модуль 45,4863.

4,8(99 оценок)
Ответ:

Если координаты векторов пропорциональны, то векторы коллинеарны, найдем координаты АВ и СД и проверим данное условие.

Над векторами везде надо ставить стрелочки. У меня нет такой возможности. Поэтому не забудьте поставить.

Координаты вектора АВ ищем, вычитая из координат конца т.к. точки В координату начала вектора, т.е. точки А. т.е.

АВ(8;-7;10)

Аналогично  СД(-6;-7;-3)

Видно, что координаты не пропорциональны. т.е. не выполняется условие коллинеарности 8/-6=-7/-7=10/-3.

ответ. Векторы не коллинеарны.

4,4(59 оценок)
Новые ответы от MOGZ: Геометрия
logo
Вход Регистрация
Что ты хочешь узнать?
Спроси Mozg
Открыть лучший ответ