
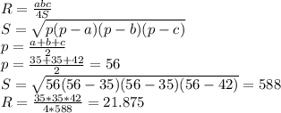
ответ:
пошаговое решение:
1) наибольший возможный периметр будет у равнобедренного треугольника, так что, если угол при вершине равен 30°, тогда углы при основании будут равны °.
2) найдём боковую сторону по теореме синусов:
3) найдём периметр равнобедренного треугольника.
ответ:
№1
, где a - векторная величина; ускорение тела при его равноускоренном движении
v - векторная величина; скорость, которую тело имело к конце промежутка времени t
v0 - векторная величина; начальная скорость тела
№2.
вектор - отрезок, для которого указано, какая из его граничных точек считается началом, а какая - концом. по-простому, вектор - направленный отрезок.
любая точка плоскости также является вектором. в этом случае вектор называется нулевым.
№3.
длиной или модулем ненулевого вектора ab называется длина отрезка ab.
длина нулевого вектора считается равной нулю.
подробнее - на -
объяснение: