М
Молодежь
К
Компьютеры-и-электроника
Д
Дом-и-сад
С
Стиль-и-уход-за-собой
П
Праздники-и-традиции
Т
Транспорт
П
Путешествия
С
Семейная-жизнь
Ф
Философия-и-религия
Б
Без категории
М
Мир-работы
Х
Хобби-и-рукоделие
И
Искусство-и-развлечения
В
Взаимоотношения
З
Здоровье
К
Кулинария-и-гостеприимство
Ф
Финансы-и-бизнес
П
Питомцы-и-животные
О
Образование
О
Образование-и-коммуникации
рорлд
рорлд
27.10.2021 01:11 •  Геометрия

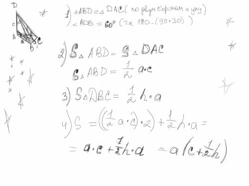
Объясните решение основание пирамиды dabc является правильный треугольник abc, сторога которого равна "a" . ребро da перпендикулярно к плоскости abc, а плоскость dbc состовляет с плоскостью abc угол 30 градусов. найти площадь боковой поверхности пирамиды. ответ: грани dab, dac - прямоугольные треугольники пусть dk перпендикулярно ak, к - основание высоты ak тогда угол akd =30 градусов по теореме пифагора ak=корень(ab^2-(ac\2)^2)= =корень(а^2-(а\2)^2)=а\2*корень(3) dk=ak*cos (akd)=а\2*корень(3)*корень(3)\2=3\4а da=ak*sin (akd)=а\2*корень(3)*1\2=a\4*корень(3) площадь грани dab =1\2*da*ab=1\2*a\4*корень(3)*а= a^2\8*корень(3) площадь грани daс =1\2*da*aс=1\2*a\4*корень(3)*а= a^2\8*корень(3) площадь грани dcb=1\2*dk*bc=1\2*3\4а*a=a^2*3\8 площадь боковой поверхности пирамиды равна= =площадь грани dab+площадь грани daс+ +площадь грани dcb= =a^2\8*корень(3)+a^2\8*корень(3)+a^2*3\8= a^2*(3+2*корень(3))\8 ответ: a^2*(3+2*корень(3))\8 какой должен быть рисунок и где проводить высоту а

👇
Ответ:
Alihan1600
Alihan1600
27.10.2021

вот такой рисунок, в задаче подставила свои буквы, по другому не могу)

 


Объясните решение основание пирамиды dabc является правильный треугольник abc, сторога которого равн
Объясните решение основание пирамиды dabc является правильный треугольник abc, сторога которого равн
4,5(30 оценок)
Открыть все ответы
Ответ:
666Dim
666Dim
27.10.2021
В "классическом" определении вероятность равна отношению числа подходящих событий к общему числу возможный событий. Всего возможный событий 8. 
Это легко сосчитать.
Первая монета может упасть двумя орел или решка), и на каждый их них вторая может упасть тоже двумя Всего для двух монет получается 4 события (можно и перечислить - "орел, орел", "орел, решка", "решка, орел", "решка, решка").
Теперь понятно, что на каждое такое событие ТРЕТЬЯ монета может упасть опять-таки двумя Откуда и получается 8 разных вариантов выпадения трех монет.
А подходящим является только 1 событие - все три монеты упали кверху решкой.
Поэтому классическая вероятность такого события равна 1/8.

Интересно вот что. Этот ответ правильный, если монеты РАЗЛИЧНЫ или бросаются ПОСЛЕДОВАТЕЛЬНО. Если все три монеты абсолютно неразличимы и бросаются одновременно, вероятность может оказаться другой :). В самом деле, в этом случае есть следующие возможные события - "3 орла" "2 орла, 1 решка" "2 решки, 1 орел", "3 решки". Однако эти события неравноправны. Так что ...:)
4,7(17 оценок)
Ответ:
Uliana7003
Uliana7003
27.10.2021
Опускаем Высоту СН на АВ.
СН = sin В * 3 корня из 2 = sin 30 * 3корня из 2 = 0,5*3 корня из 2 = 1,5 корня из 2
НВ в квадрате = (3 корня из 2) в квадрате - (1,5 корня из 2)в квадрате = 9*2 - 9/2= 13,5
НВ = корень из 13,5 = 3 корня из 1,5
АН = СН= 1,5 корня из 2 так как треугольник равнобедренный (углы при основании АС равны 45).
АВ = АН + НВ = 1,5 корня из 2 + 3 корня из 1,5
АС = корень из (АН в квадрате + СН в квадрате) = корень из (4,5+4,5)=3

ОТВЕТ угол А = 45
АВ= 1,5 корня из 2 + 3 корня из 1,5
АС=3
4,5(59 оценок)
Это интересно:
Новые ответы от MOGZ: Геометрия
logo
Вход Регистрация
Что ты хочешь узнать?
Спроси Mozg
Открыть лучший ответ