М
Молодежь
К
Компьютеры-и-электроника
Д
Дом-и-сад
С
Стиль-и-уход-за-собой
П
Праздники-и-традиции
Т
Транспорт
П
Путешествия
С
Семейная-жизнь
Ф
Философия-и-религия
Б
Без категории
М
Мир-работы
Х
Хобби-и-рукоделие
И
Искусство-и-развлечения
В
Взаимоотношения
З
Здоровье
К
Кулинария-и-гостеприимство
Ф
Финансы-и-бизнес
П
Питомцы-и-животные
О
Образование
О
Образование-и-коммуникации
flopeNIX
flopeNIX
29.02.2020 08:58 •  Геометрия

заранее В прямоугольном треугольнике ABC <C=равно 90° гипотенуза C равна 25 см, катет B равен 24 см найдите катет А, острые углы A и B. Решите задачу двумя

👇
Ответ:
alex06062
alex06062
29.02.2020

см. фото

Объяснение:

Не совсем понимаю, про какой второй идет речь и правильно ли я понял твою но если это тебя удовлетворит, то поставь 5 звезд и отметь как лучший ответ :)


заранее В прямоугольном треугольнике ABC <C=равно 90° гипотенуза C равна 25 см, катет B равен 24
4,8(49 оценок)
Ответ:
Verenea
Verenea
29.02.2020

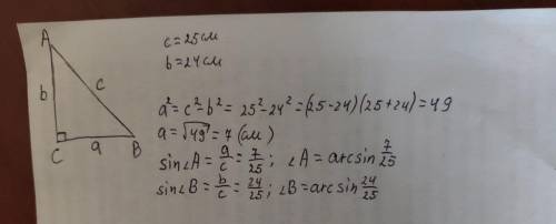
Катет а = 7 см;  ∠А = 16,26°;   ∠В = 73,74°

Объяснение:

Дано:

ΔАВС:

∠С = 90°

с = 25 см - гипотенуза

b = 24 см  - катет

Найти:

а - катет

∠А и ∠В

1-й

Катет a = √(c² - b²) = √(25² - 24²) = 7 (cм)

sin A = a : c = 7 : 25 = 0.28

∠A = arc sin 0.28 ≈ 16.26°

∠B = 90° - ∠A = 90° - 16.26° = 73.74 °

2-й

sin B = b : c = 24 : 25 = 0.96

∠В = arc sin 0.96 ≈ 73.74°

cos A = sin B = 0.96

∠A = arc cos 0.96 = 16.26°

a = c · sin A = 25 · sin 16.26° = 25 · 0.28 = 7 (см)

4,7(8 оценок)
Открыть все ответы
Ответ:
dkhairov1993
dkhairov1993
29.02.2020

Объяснение:

Обозначим величину угла ACB через х.

Выразим через х величину угла ВАС.

Согласно условию задачи, величина угол BAC в 2 раза больше, чем величина угла ACB, следовательно, величина угла ВАС составляет 2х.

Рассмотрим треугольник АВС.

В данном треугольнике угол АВС является прямым.

Поскольку сумма углов любого треугольник равна 180°, можем составить следующее уравнение:

х + 2х + 90 = 180.

Решаем полученное уравнение и находим величину угла ACB:

3х + 90 = 180;

3х = 180 - 90;

3х = 90;

х = 90 / 3;

х = 30°.

Находим величину угла ВАС:

2х = 2 * 30 = 60°.

ответ: угол ACB равен 30°, угол BAC равен 60°.

4,5(69 оценок)
Ответ:
paa050403
paa050403
29.02.2020
Треугольник ABC, Медианы AA1, BB1 и CC1 пересекаются в точке O. Если продлить медиану AA1 за точку A1 (середину стороны BC) на расстояние, равное A1O, и полученную точку A2 (A1A2 = A1O) соединить с точками B и C, то фигура BOCA2 - параллелограмм (диагонали его делятся пополам в точке пересечения). Поэтому BA2 = CO.
Таким образом, треугольник BOA2 имеет стороны, равные 2/3 от длин медиан (не важно, какая именно медиана равна 3, какая 4, и какая 5). Площадь этого треугольника BOA2 равна площади "египетского" треугольника со сторонами 3,4,5, умноженной на (2/3)^2; то есть Sboa2 = (3*4/2)*(4/9) = 8/3;
С другой стороны, площадь этого треугольника равна 1/3 площади треугольника ABC, потому что медианы делят треугольник на шесть треугольников равной площади, а площадь треугольника BOA2 равна площади треугольника BOC - и там и там половина площади параллелограмма BOCA2.
Поэтому площадь ABC равна 8.
4,6(33 оценок)
Новые ответы от MOGZ: Геометрия
logo
Вход Регистрация
Что ты хочешь узнать?
Спроси Mozg
Открыть лучший ответ