М
Молодежь
К
Компьютеры-и-электроника
Д
Дом-и-сад
С
Стиль-и-уход-за-собой
П
Праздники-и-традиции
Т
Транспорт
П
Путешествия
С
Семейная-жизнь
Ф
Философия-и-религия
Б
Без категории
М
Мир-работы
Х
Хобби-и-рукоделие
И
Искусство-и-развлечения
В
Взаимоотношения
З
Здоровье
К
Кулинария-и-гостеприимство
Ф
Финансы-и-бизнес
П
Питомцы-и-животные
О
Образование
О
Образование-и-коммуникации
nastya20174
nastya20174
21.04.2020 02:11 •  Геометрия

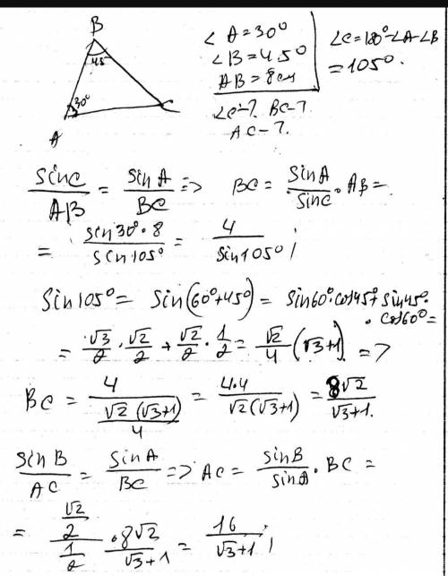
Решите треугольник : c=8см угол А=30° угол В=45°
С теоремы синусов​

👇
Ответ:
SuperMan87
SuperMan87
21.04.2020

ответ:как-то так

Объяснение:


Решите треугольник : c=8см угол А=30° угол В=45° С теоремы синусов​
4,5(67 оценок)
Открыть все ответы
Ответ:
Logutova
Logutova
21.04.2020

Так как по условию задачи осевым сечением конуса является прямоугольный треугольник, то, соответственно, угол при вершине данного треугольника равен 90° Значит гипотенуза является основанием треугольника и диаметром основания конуса:

D = 10 см по условию задачи.

Проведем в треугольнике высоту, перпендикулярную основанию конуса. Высота разбивает треугольник на два одинаковых прямоугольных треугольника. Если угол при вершине равен 90°, то углы в основании треугольника будут по 45° Значит высота треугольника H равна радиусу основания: Н = R = D/2 = 10/2 = 5 см

Найдем объём конуса:

V = 1/3 πR²H = 1/3 π5²*5 = 125 π/3 см³

ответ: 125 π/3 см³

4,7(10 оценок)
Ответ:
DarkLooord
DarkLooord
21.04.2020

Так как по условию задачи осевым сечением конуса является прямоугольный треугольник, то, соответственно, угол при вершине данного треугольника равен 90° Значит гипотенуза является основанием треугольника и диаметром основания конуса:

D = 10 см по условию задачи.

Проведем в треугольнике высоту, перпендикулярную основанию конуса. Высота разбивает треугольник на два одинаковых прямоугольных треугольника. Если угол при вершине равен 90°, то углы в основании треугольника будут по 45° Значит высота треугольника H равна радиусу основания: Н = R = D/2 = 10/2 = 5 см

Найдем объём конуса:

V = 1/3 πR²H = 1/3 π5²*5 = 125 π/3 см³

ответ: 125 π/3 см³

4,5(80 оценок)
Это интересно:
Новые ответы от MOGZ: Геометрия
Полный доступ к MOGZ
Живи умнее Безлимитный доступ к MOGZ Оформи подписку
logo
Вход Регистрация
Что ты хочешь узнать?
Спроси Mozg
Открыть лучший ответ