М
Молодежь
К
Компьютеры-и-электроника
Д
Дом-и-сад
С
Стиль-и-уход-за-собой
П
Праздники-и-традиции
Т
Транспорт
П
Путешествия
С
Семейная-жизнь
Ф
Философия-и-религия
Б
Без категории
М
Мир-работы
Х
Хобби-и-рукоделие
И
Искусство-и-развлечения
В
Взаимоотношения
З
Здоровье
К
Кулинария-и-гостеприимство
Ф
Финансы-и-бизнес
П
Питомцы-и-животные
О
Образование
О
Образование-и-коммуникации
VovaMel2017
VovaMel2017
27.08.2020 15:01 •  Геометрия

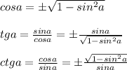
Выразите тригонометрические функции угла a через sin a.

👇
Ответ:
olivcad
olivcad
27.08.2020

cosa=б\sqrt{1-sin^2a} \\ \\ tga=\frac{sina}{cosa}=б\frac{sina}{\sqrt{1-sin^2a}} \\ \\ ctga=\frac{cosa}{sina}=б\frac{\sqrt{1-sin^2a}}{sina}

4,5(1 оценок)
Открыть все ответы
Ответ:
stas289
stas289
27.08.2020
Диагонали прямоугольника в точке пересечения делятся пополам.
Диагонали прямоугольника равны между собой.
При пересечении диагоналей образуются равнобедренные треугольники.
Рассмотрим один из них, вершина которого составляет 120 градусов.
Находим углы при основании этого треугольника: (180 -120) :2 = 30градусов
угол 30 гр лежит против меньшей стороны прямоугольника, принимаем меньшую сторону пр-ка за Х.
Теперь рассмотрим треугольник, образованный одной диагональю.
Он -прямоугольный, в котором меньший катет лежит против угла в 30 гр.и равен Х, следовательно гипотенуза(диагональ) = 2Х
2Х+Х = 36 (по условию)
3Х = 36
Х = 12
2Х = 24
ответ: 24 см - диагональ прямоугольника.
4,5(22 оценок)
Ответ:
таня2023
таня2023
27.08.2020
Обозначим параллелограмм буквами АВСД с углом А=45 град. О - точка пересечения диагоналей. ОХ высота к АД. ОУ высота к ВС. Треугольник ВОС= треугольнику АОД. Значит их высоты равны и ОХ=ОУ=корень из 2. Значит высота параллелограмма АВСД - 2*корень из 2. Проведем из точки С высоту к АД. М- точка пересечения высоты с АД. Треугольник ДМС прямоугольный и равнобедренный. Значит СМ=МД=2корня из2. По теореме Пифагора находим, что СД2=ДМ2+СМ2=8+8=16. Отсюда СД=корень из 16=4. т.к. треугольник АВО= треугольнику СОД, то их высоты равны. Сл=но высота параллелограмма равна 6см. Площадь параллелограмма равно основание*на высоту. S=6*4=24
4,7(85 оценок)
Это интересно:
Новые ответы от MOGZ: Геометрия
logo
Вход Регистрация
Что ты хочешь узнать?
Спроси Mozg
Открыть лучший ответ