М
Молодежь
К
Компьютеры-и-электроника
Д
Дом-и-сад
С
Стиль-и-уход-за-собой
П
Праздники-и-традиции
Т
Транспорт
П
Путешествия
С
Семейная-жизнь
Ф
Философия-и-религия
Б
Без категории
М
Мир-работы
Х
Хобби-и-рукоделие
И
Искусство-и-развлечения
В
Взаимоотношения
З
Здоровье
К
Кулинария-и-гостеприимство
Ф
Финансы-и-бизнес
П
Питомцы-и-животные
О
Образование
О
Образование-и-коммуникации
DianaHreseva
DianaHreseva
21.12.2021 23:40 •  Геометрия

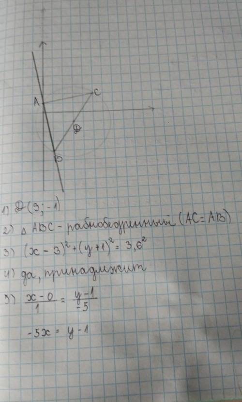
1)Найди конц B отрезка AB если A(1;-4) и середина C (1;3) 2) найдите расстояние между точками A (14;1) и B (8;4)
3) данная точка A(-1;-1 и C (-4;3) составьте уравнение окружности с центром в точке C , проходящей через точку A
4) составьте уравнение прямой AB проходящей через 2 точки с координатами

👇
Ответ:
shivaco
shivaco
21.12.2021

ответ на картинке там всё показано!

это тебе нужно начертить только правильно удачи! всего доброго!

ну,вот как на тетрадки там очень всё правильно показано удачи чтобы у тебя всё получилось успехов!


1)Найди конц B отрезка AB если A(1;-4) и середина C (1;3) 2) найдите расстояние между точками A (14;
1)Найди конц B отрезка AB если A(1;-4) и середина C (1;3) 2) найдите расстояние между точками A (14;
4,4(60 оценок)
Открыть все ответы
Ответ:
smokenmyr
smokenmyr
21.12.2021

№1: . №2:  .

Объяснение:

№1.

Пусть , тогда  - секущая.

Теорема: "При пересечении двух параллельных прямых секущей, сумма односторонних углов равна .

, по условию.

и  - односторонние углы  

№2.

Обозначим данные прямые буквами  

Пусть  - секущая прямых  и  

Теорема: "При пересечении двух параллельных прямых секущей, накрест лежащие углы равны".

и  - накрест лежащие при пересечении  и  секущей , однако .

 и  - не параллельны.

Свойство: "Вертикальные углы равны".

Свойство: "Сумма смежных углов равна ".

Рассмотрим углы, образовавшиеся при пересечении прямых  и  

, по свойству вертикальных углов.

, по свойству смежных углов.

, по свойству вертикальных углов.

Рассмотрим углы, образовавшиеся при пересечении прямых  и .

, по свойству вертикальных углов.

, по свойству смежных углов.

, по свойству вертикальных углов.

Объяснение:

4,7(22 оценок)
Ответ:
Classica27725
Classica27725
21.12.2021

на рисунке а прямые будут параллельны потому что углы равны.на рисунке б прямые параллельны не будут потому что внутренние односторонние углы в сумме должны давать 180 градусов, на рисунке c прямые параллельны не будут потому что накрест лежащие углы должны быть равные они тут неравные, на рисунке d прямые будут параллельны потому что внутренние односторонние углы в сумме должны давать 180 градусов этот они в сумме дают 180 градусов, на рисунке прямые тоже параллельными не будут потому что сначала мы найдём угол который будет в вертикальном углу 132 градуса он будет равен 38 градусов внутренние односторонние углы должны в сумме давать 180 градусов и не в сумме получается не буду давать 180 градусов если сложить 38 + 38

4,6(42 оценок)
Новые ответы от MOGZ: Геометрия
logo
Вход Регистрация
Что ты хочешь узнать?
Спроси Mozg
Открыть лучший ответ