
Объяснение:
При пересечении двух хорд в одной точке произведение двух частей одной хорды равно произведению частей второй хорды.Для удобства Назовём хорды и точку их пересечения.Пусть Хорда АВ пересекается с хордой ТМ в точке К,тогда по теореме АК*КВ=ТК*КМ Тогда 2*9=ТК*КМ
Пусть ТК- равен х см ,тогда КМ=х+3.
Составляем уравнение 2*9=х*(х+3) ;18=х²+3х х²+3х-18=0
х²+3х-18=0
По теореме Виета
х1+х2=-3 х1=3
х1*х2=-18 х2= -6 Значение -6 нам не подходит,так как длина не может быть отрицательной .Поэтому ТК=3 см,тогда КМ=3+3= 6см
ответ: больший отрезок второй хорды равен 6 см
1) Координаты середины отрезка ( -1-3)/2=-2; у=(4-10)/2=-3
Точка О(-2;-3), т.к. , чтобы найти координаты середины, надо сложить их соответствующие координаты и каждую сумму поделить на два.
2) Координаты центра этой окружности х= 2 и у=- 4, т.к. окружность имеет такую формулу (х-х₁)₂+(у-у₁)²=R₂, где (х₁;у₁) - центр этой окружности.
3) расстояние АВ =√((2-5)²+(-3+7)²)=√(9+16)=5
от координат конца отнимаем координаты начала, возводим разность в квадрат, находим сумму и из нее извлекаем корень квадратный.
111 м (округлённо)
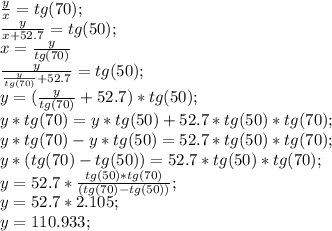
Объяснение:
AB=y;
AC=x;
AD=x+52.7;
Если не округлять промежуточные значения, то будет результат:
110,91715297477797159353638649431 или округлённо 111 м.