М
Молодежь
К
Компьютеры-и-электроника
Д
Дом-и-сад
С
Стиль-и-уход-за-собой
П
Праздники-и-традиции
Т
Транспорт
П
Путешествия
С
Семейная-жизнь
Ф
Философия-и-религия
Б
Без категории
М
Мир-работы
Х
Хобби-и-рукоделие
И
Искусство-и-развлечения
В
Взаимоотношения
З
Здоровье
К
Кулинария-и-гостеприимство
Ф
Финансы-и-бизнес
П
Питомцы-и-животные
О
Образование
О
Образование-и-коммуникации
созданной
созданной
04.10.2022 22:48 •  Геометрия

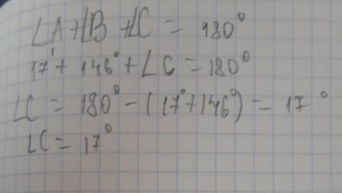
A=17, B=146, чему равен С? Какой треугольник?

👇
Ответ:
rainbiwcat750KO
rainbiwcat750KO
04.10.2022

C=180-(A+B)

C=180-163=17

C=17

Равнобедренный треугольник

4,6(2 оценок)
Ответ:
вбцуьа
вбцуьа
04.10.2022

C=17°

Объяснение:

треугольник будет равнобедренный


A=17, B=146, чему равен С? Какой треугольник?
4,8(77 оценок)
Открыть все ответы
Ответ:
ilyasterxov16
ilyasterxov16
04.10.2022
Параллельные прямые, которые исходят из точек С, Р и К перпендикулярны к прямой С1К1. Проведем CN, NP1,C1M, ML так, что CMPN и MLK1C1 - прямоугольники. Из условия СС1 = 3 см, РР1 = 5 см. Поскольку СС1Р1N - прямоугольник (три угла равны 90 градусов), то CC1 = NP1 = 3 см. Аналогично из прямоугольника MPP1C1: MC1 = PP1 = 5 см, из прямоугольника MLK1C1:  МС1 = LK1 = 5 см. CM = NP = NP1 + P1P, CM = 3 + 5 = 8 см. Рассмотрим треугольники CMP и KLP: СР = РК по условию, <MPC = <KPL как вертикальные, <CMP = <KLP = 90 градусов. Следовательно, треугольника CMP и KLP равны по стороне и двум прилежащим к ней углам. Исходя из равенства треугольников, CM = KL = 5 см.  KK1 = KL + LK1. Имеем: KK1 = 8 + 5 = 13 см. ответ: 13 см. 

Через концы отрезка ск и его середину р проведены параллельные прямые, пересекающие некоторую плоско
Через концы отрезка ск и его середину р проведены параллельные прямые, пересекающие некоторую плоско
4,4(20 оценок)
Ответ:
пингвин39
пингвин39
04.10.2022
1) Пусть средняя линия будет KH
Проведем высоту BT к основанию AD
угол ABT = 30 градусов, поэтому AT = 6
Проведем высоту CJ к основанию AD
JD = CD так как треугольник CJD - равнобедренный
Средняя линия трапеции: 1/2(BC+AD) = 1/2(8 + 8+ 10 + 6) = 1/2 * 32 = 16

2) Назовем данную трапецию ABCD, где BC, AD - основания, проведем две высоты BK, CL, тогда длина AK будет равна 5 см, а длина KD будет равна 12 см, тогда длина LD будет равна длине AK и будет равна также 5 см.
KL = KD - LD = 12 - 5 = 7 см.
Так как длина KL равна длине меньшего основания, тогда длина BC также равна 7 см, можем найти среднюю линию трапеции, если BC = 7 см, AD = 17 см.
(BC + AD) / 2 = (7 + 17) / 2 = 12 см.
ответ: длина средней линии 12 см.
4,4(6 оценок)
Это интересно:
Новые ответы от MOGZ: Геометрия
logo
Вход Регистрация
Что ты хочешь узнать?
Спроси Mozg
Открыть лучший ответ