М
Молодежь
К
Компьютеры-и-электроника
Д
Дом-и-сад
С
Стиль-и-уход-за-собой
П
Праздники-и-традиции
Т
Транспорт
П
Путешествия
С
Семейная-жизнь
Ф
Философия-и-религия
Б
Без категории
М
Мир-работы
Х
Хобби-и-рукоделие
И
Искусство-и-развлечения
В
Взаимоотношения
З
Здоровье
К
Кулинария-и-гостеприимство
Ф
Финансы-и-бизнес
П
Питомцы-и-животные
О
Образование
О
Образование-и-коммуникации
zalehorosaj
zalehorosaj
14.10.2021 01:59 •  Геометрия

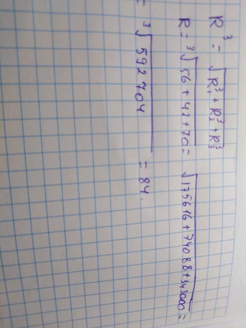
Радиусы трёх шаров равны 56 см, 42 см и 70 см. Найди радиус шара, объём которого равен сумме их объёмов.

👇
Ответ:
katyastulova23
katyastulova23
14.10.2021

Объем шара V=4/3πR в кубе.

Объяснение:


Радиусы трёх шаров равны 56 см, 42 см и 70 см. Найди радиус шара, объём которого равен сумме их объё
4,8(89 оценок)
Открыть все ответы
Ответ:
GoldCoin
GoldCoin
14.10.2021

1-ый признак равенства треугольников: по двум сторонам и углу между ними (Теорема 3.1. – Признак равенства треугольников по двум сторонам и углу между ними - Если две стороны и угло между ними одного треугольнгрка равны соотвественно двум сторонам и углу между ними другого треугольника, то такие треугольники равны)

Доказательство:

Пусть у треугольников АВС и А1В1С1 угол А равен углу А1, АВ равно А1В1, АС равно А1С1, докажем, что треугольники равны.

Пусть А1В2С2 – треугольник, равный АВС, с вершины В2 на луче А1В1 и вершины С2 в той же полуплоскости относительно прямой А1В1, где лежит вершина С1.

Так как А1В1 равно А1В2, то вершина В2 совпадет с В1. Так как угол В1А1С1 равен углу В2А1С2, то луч А1С2 совпадет с А1С1. Так как А1С1 равен А1С2, то С2 совпадет с С1. Значит треугольник А1В1С1 совпадает стреугольниом А1В2С2, значит равен треугльнику АВС.

Теорема доказана.

2-ой признак равенства треугольников: по стороне и прилежим к ней углам (Теорема 3.2. - Признак равенства треугольников по стороне и прилежащим к ней углам - Если сторона и прилежащие у ней углы одного треугольника равны соотвественно стороне и прилежащим к ней углам другого треугольника, то такие треугольники равны)

Доказательство:

Пусть АВС и А1В1С1 – два треугольника, у которых АВ равно А1В1, угол А равен углу А1, и угол В равен углу В1. Докажем, что они равны.

Пусть А1В2С2 – треугольник, равный АВС, с вершины В2 на луче А1В1 и вершины С2 в той же полуплоскости относительно прямой А1В1, где лежит вершина С1.

Так как А1В2 равно А1В1, то вершина В2 совпадет с В1. Так как угол В1А1С2 равен углу В1А1С1, и угол А1В1С2 равен углу А1В1С1, то луч А1С2 совпадет с А1С1, а В1С2 совпадет с В1С1. Отсюда следует, что вершина С2 совпадет с С1. Значит треугольник А1В1С1 совпадает стреугольниом А1В2С2, значит равен треугльнику АВС.

Теорема доказана.

3-ий признак равенства треугольников: по трем сторонам ( Теорема 3.6. - Признак равенства треугольников по трем сторонам - Если три стороны одного треугольника равны соответственно трем сторонам другого треугольника, то такие треугольники равны)

Доказательство:

Пусть АВС и А1В1С1 – два треугольника, у которых АВ равно А1В1, АС равно А1С1, и ВС равно В1С1. Докажем, что они равны.

Допустим, треугольники не равны. Тогда у них угол А не равен углу А1, угол В не равен углу В1, и угол С не равен углу С1. Иначе они были бы равны, по перовому признаку.

Пусть А1В1С2 – треугольник, равный треугольнику АВС, у которого Свершина С2 лежит в одной полуплоскости с вершиной С1 относительно прямой А1В1.

Пусть D – середина отрезка С1С2. Треугольники А1С1С2 и В1С1С2 – равнобедренные с общим основанием С1С2. Поэтому их медианы А1D и В1D – являются высотами, значит прямые А1D и В1D – перпендикулярны прямой С1С2. Прямые А1D и В1D не совпадают, так как точки А1, В1, D не лежат на одной прямой, но через точку D прямой С1С2 можно провести только одну перпендикулярную ей прямую. Мы пришли к противоречию.

4,7(63 оценок)
Ответ:
KekLol89
KekLol89
14.10.2021
М. южн. угол, зауголок, закоелок, тупик; вершина или конец глухого захода, залива, заводи, мыса и пр. Загнали волка в кут — там ему и капут! || Угол крестьянской избы; четыре угла избы отвечают четырем покоям: передней, гостиной, спальне и стряпной;кут, куть, кутник, называется придверный угол и прилавок, коник (твер. пск. ряз. тул. пенз. влад. яросл. костр. ниж. вят.);местами же бабий угол, середа, шелнуша, стряпная за перегородкою, за занавескою (вор. кур. калужск. вологодск. перм. арх. сиб. сар.) в новг. этот же угол, если полати там, а не при дверях; наконец кут красный угол (новг. пск. смол. кур.). Из кута по лавке, шелудяк наголо! бранное на свадебных гостей, дрянные гости. Тащи стол на кут! от печи в красный угол. Садись на кут, да и все тут
4,5(37 оценок)
Это интересно:
Новые ответы от MOGZ: Геометрия
Полный доступ к MOGZ
Живи умнее Безлимитный доступ к MOGZ Оформи подписку
logo
Вход Регистрация
Что ты хочешь узнать?
Спроси Mozg
Открыть лучший ответ