М
Молодежь
К
Компьютеры-и-электроника
Д
Дом-и-сад
С
Стиль-и-уход-за-собой
П
Праздники-и-традиции
Т
Транспорт
П
Путешествия
С
Семейная-жизнь
Ф
Философия-и-религия
Б
Без категории
М
Мир-работы
Х
Хобби-и-рукоделие
И
Искусство-и-развлечения
В
Взаимоотношения
З
Здоровье
К
Кулинария-и-гостеприимство
Ф
Финансы-и-бизнес
П
Питомцы-и-животные
О
Образование
О
Образование-и-коммуникации
помоги269
помоги269
06.11.2021 09:23 •  Геометрия

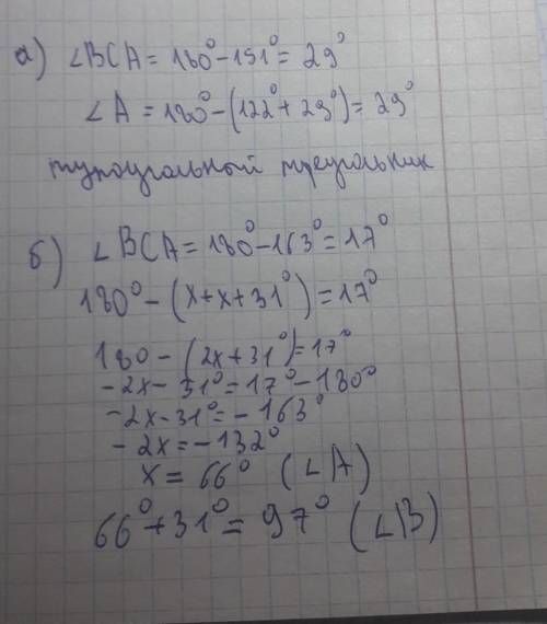
(желательно с объяснением)​


(желательно с объяснением)​

👇
Ответ:

Объяснение:

вродее такккк

180°-внешний угол°= внутренний угол°


(желательно с объяснением)​
4,6(47 оценок)
Открыть все ответы
Ответ:
зарница55
зарница55
06.11.2021
) ABCDA1B1C1D1 - прямая призма, основание - ромб ABCD; ∠BAD = 60°; H = AA1 = 10
AB = BC = CD = AD = a; P = 4a = S(бок) /H = 24; a = 6
треугольники ABD и BCD - равносторонние
S(сеч) = S(BDD1B1) = BD·H = 6·10 = 60 (см²)
2) Если все боковые ребра пирамиды наклонены к плоскости основания (прямоугольный треугольник ABC, ∠B = 90) под одинаковым углом (90 - 45 = 45), то около основания такой пирамиды можно описать окружность, а высота, опущенная из вершины на основание, падает в центр (точка O, лежит на середине гипотенузы) описанной около основания окружности.
AC = 2·4·tg(45) = 8
BC = AC·cos(30) = 4√3
AB = AC·sin(30) = 4
OH⊥AB; OH = BC/2 = 2√3
OK⊥BC; OK = AB/2 = 2
DH = √(OD² + OH²) = 2√7
DK = √(OD² + OK²) = 2√5
S(бок) = (1/2)(8·4 + (2√7)·4 + (2√5)·(4√3)) = 4(4 + √7 + √15) (см²) надеюсь
4,4(56 оценок)
Ответ:
ARMY130613
ARMY130613
06.11.2021
Так как точки А, В, С не лежат на одной прямой, существует единственная плоскость а, проходящая через эти точки. То есть, а=(АВС).

Если две точки прямой принадлежат плоскости, то и вся прямая (все точки прямой) принадлежит этой плоскости. Значит, прямая АВ принадлежит а, тогда и М принадлежит а. Аналогично, прямая АС принадлежит а, тогда и К принадлежит а. Из этого следует, что прямая МК также принадлежит плоскости а. Но тогда любая точка этой прямой, в том числе точка Х, принадлежит а, что и требовалось.
4,8(18 оценок)
Это интересно:
Новые ответы от MOGZ: Геометрия
logo
Вход Регистрация
Что ты хочешь узнать?
Спроси Mozg
Открыть лучший ответ