Нарисуй равнобедренный прямоугольный треугольник ABC и выполни поворот треугольника вокруг вершины прямого угла A на угол −270°.
Определи периметр фигуры, которая образовалась из обоих треугольников, если длина катета данного треугольника равна 23 см
Объяснение:
Поворот сохраняет расстояние . Т.к. АВ=АС , то
при повороте на -270° : точка В→В₁ , точка С→В ( кстати , поворот на -270° тождественен повороту на +90°). Образовался равнобедренный Δ ВСВ₁ , основанием СВ₁=23*2=46( см) и боковыми сторонами ВС=ВВ₁.
В ΔАВС , по т. Пифагора найдем гипотенузу :
АВ =√(23²+23²)=√(2*23²)=23√2≈23*1,41=32,43 (см).
Р(ВСВ₁)=46+2*32,43=110,86 (см).
Если округлить до целых , то 110,86 см≈111 см
ответ:8, при условии, что у вас опечатка, и внешний больше внутреннего. иначе решений нет.
Объяснение: Сумма внешнего угла и внутреннего угла составляет 180°, внешний угол в 3 раза меньше, пусть х, тогда внутренний 3х, х+3х=180, х=180/4; х=45, внутренний угол 45°*3=135°, сумма всех внешних, взятых по одному при каждой вершине, 360°, значит, число сторон, как и углов, равно 360/135= не есть число натуральное. значит, правильного многоугольника с такими данными не существует.
Если же условие другое. / см. замечание в ответе/, то 360/45=8- сторон.
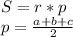
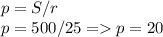
Формула вычисления площади треугольника, зная периметр, и радиус такова:
Для начала найдём полупериметр:
Периметр вдвое больше полупериметра(очевидно), тоесть:
Вывод: P = 40.