М
Молодежь
К
Компьютеры-и-электроника
Д
Дом-и-сад
С
Стиль-и-уход-за-собой
П
Праздники-и-традиции
Т
Транспорт
П
Путешествия
С
Семейная-жизнь
Ф
Философия-и-религия
Б
Без категории
М
Мир-работы
Х
Хобби-и-рукоделие
И
Искусство-и-развлечения
В
Взаимоотношения
З
Здоровье
К
Кулинария-и-гостеприимство
Ф
Финансы-и-бизнес
П
Питомцы-и-животные
О
Образование
О
Образование-и-коммуникации
nastgoliakova
nastgoliakova
22.10.2022 21:33 •  Геометрия

РЕШИТЕ
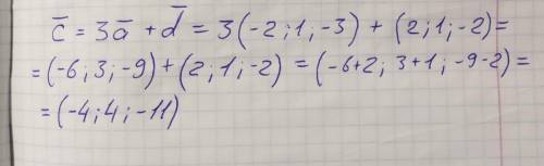
Дано вектори (векторы) a(-2;1;-3) d(2;1;-2) Знайти (найти) c=3a+d

👇
Ответ:
Yoongiimfromgot7
Yoongiimfromgot7
22.10.2022

ответ

C(-4;4;-11)

Объяснение:


РЕШИТЕ Дано вектори (векторы) a(-2;1;-3) d(2;1;-2) Знайти (найти) c=3a+d
4,4(36 оценок)
Открыть все ответы
Ответ:
Guttkov
Guttkov
22.10.2022

Номер 6

(90-32):2=29

Один острый угол 29 градусов

Второй острый угол 29+32=61 градус

Номер 7

3+5+7=15 частей

Чему равна 1 часть

180:15=12

Первый угол 12•3=36 градусов

Второй угол 12•5=60 градусов

Третий угол 12•7=84 градуса

Номер 8

Внешний и смежный ему внутренний угол в сумме равны 180 градусов

Первый угол

180-104=76 градусов

Второй угол

180-124=56 градусов

Сумма всех углов треугольника равна 180 градусов

Третий угол

180-(76+56)=48 градусов

Номер 9

Вариант 1

Угол при вершине треугольника больше других углов на 36 градусов

(180-36):3=48 градусов

Углы при основании равны между собой и каждый из них равен 48 градусов

Угол при вершине равен

48+36=84 градуса

Вариант 2

Углы при основании больше угла при вершине

(180-36•2):3=36 градусов

Угол при вершине равен 36 градусов

Углы при основании каждый равен

36+36=72 градуса

Объяснение:

4,7(36 оценок)
Ответ:
Vova2288s
Vova2288s
22.10.2022

ответ: cos B - 12/13

sin B-5/13

tg B-5/12

ctg B-12/5

Объяснение:

Синус острого угла в прямоугольном треугольнике – это отношение противолежащего катета к гипотенузе.

Косинус острого угла в прямоугольном треугольнике – это отношение прилежащего катета к гипотенузе.

Тангенс острого угла в прямоугольном треугольнике – это отношение противолежащего катета к прилежащему.

Котангенс острого угла в прямоугольном треугольнике – это отношение прилежащего катета к противолежащему.

P.s

Постараюсь русским языком объяснить. BA- гипотенуза, она равна 13 см. ВС- это катет прилегающий катет, равен 12 см. СА  это противолежащий катет,равен 5 см. И теперь по выписанным значениям делаем.

А если у нас угол А был бы,то CA был прилегающим катетом. А ВС противолежащим катетом.

Надеюсь понятно объяснил.


По рисунку 1 установите соответствие между тригонометрическими функциями угла и их значение​
4,5(68 оценок)
Новые ответы от MOGZ: Геометрия
logo
Вход Регистрация
Что ты хочешь узнать?
Спроси Mozg
Открыть лучший ответ