М
Молодежь
К
Компьютеры-и-электроника
Д
Дом-и-сад
С
Стиль-и-уход-за-собой
П
Праздники-и-традиции
Т
Транспорт
П
Путешествия
С
Семейная-жизнь
Ф
Философия-и-религия
Б
Без категории
М
Мир-работы
Х
Хобби-и-рукоделие
И
Искусство-и-развлечения
В
Взаимоотношения
З
Здоровье
К
Кулинария-и-гостеприимство
Ф
Финансы-и-бизнес
П
Питомцы-и-животные
О
Образование
О
Образование-и-коммуникации
гульназ85
гульназ85
26.09.2022 15:10 •  Геометрия

Найдите периметр треугольника вершинами которого служат середины сторон треугольника АВС если А(-4:0) B(0:6) C(4:-2) в ответе запишите приближенное округленное до сотых значение ​

👇
Ответ:
Непатриот
Непатриот
26.09.2022

ответ: PΔ ≈ 12,2

Объяснение:

Для начала нам необходимо найти точки, являющейся серединами сторон треугольника ABC.

Возьмём за D середину отрезка AB ; за E середину отрезка BC ; за F середину отрезка AC.

Вот сама формула, по которой мы эти середины будем вычислять:

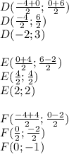
D(\frac{x_{A}+x_{B}}{2} ;\frac{y_{A} +y_{B} }{2} )

А(-4:0)  ;  B(0:6)  ;  C(4:-2)

D(\frac{-4+0}{2} ;\frac{0+6}{2} )\\D(\frac{-4}{2} ;\frac{6}{2} )\\D(-2;3)\\\\E(\frac{0+4}{2} ;\frac{6-2}{2} )\\E(\frac{4}{2} ;\frac{4}{2} )\\E(2;2)\\\\F(\frac{-4+4}{2} ;\frac{0-2}{2} )\\F(\frac{0}{2} ;\frac{-2}{2} )\\F(0;-1)

Теперь, имея координаты вершин рассматриваемого треугольника, можно посчитать длины его сторон по следующей формуле:

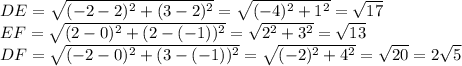
AB=\sqrt{(x_{A}-x_{B} )^{2} +(y_{A}-y_{B} )^{2} }

Вычисляем:

DE=\sqrt{(-2-2)^{2} +(3-2)^{2} }=\sqrt{(-4)^{2} +1^{2} } = \sqrt{17} \\EF = \sqrt{(2-0)^{2} +(2-(-1))^{2} }=\sqrt{2^{2} +3^{2} } = \sqrt{13}\\DF = \sqrt{(-2-0)^{2} +(3-(-1))^{2} }=\sqrt{(-2)^{2} +4^{2} } = \sqrt{20}=2\sqrt{5}

Теперь переходим к вычислению периметра.

PΔ = a + b + c

P_{\Delta}_{DE}_{F} = \sqrt{17} +\sqrt{13} +2\sqrt{5} \approx 12,2


Найдите периметр треугольника вершинами которого служат середины сторон треугольника АВС если А(-4:0
4,6(34 оценок)
Открыть все ответы
Ответ:
kolitka1
kolitka1
26.09.2022
1. 1) 50: 2 = 25 (- полусумма сторон) 2) пусть х + 5 - большая сторона, тогда х - наименьшая. полусумма равна 25, имеем уравнение: х+х+5=25, отсюда х = 10. 3) итак, наименьшие стороны равны по 10  см, а наибольшие по 15  см.2.30 градусов, в ромбе все стороны равны, и если сторона равна диагонали, то образуется равносторонний треугольник у которого все внутренние углы равны 60 градусов, вторая диагональ есть биссектриса внутреннего угла - делит его пополам3. 0,5*ac=корень (ad в квадрате + (0,5*bd) в квадрате) ac = 2*корень (6 в квадрате + 2,5 в квадрате) = 2*6,5 = 13
4,5(17 оценок)
Ответ:
dima1028
dima1028
26.09.2022
Сейчас : ) площадь полной поверхности (sполн)  равна 36. решение: sполн = 4sграни + 2sоснования. грани в прямой призме с основанием в виде ромба равны. sграни=h*a=3а, где а - сторона ромба. sоснования=2*sтреугольника. sтреугольника=(а*h)/2, так как треугольник с углом 60 град - равносторонний. далее  sоснования=2*(a*h)/2=a*h=3а=sграни;   sполн = 4sграни + 2sграни = 6sграни = 6*3*а= 18*а. теперь осталось найти а. рассмотрим равносторонний треугольник (половина основания призмы).найдём высоту: h=(2√3)/2;   теперь рассмотрим прямоугольный треугольник  (половина основания призмы) и найдём а.  cos(60град/2)=((2√3)/2)/а, отсюда  √3/2=√3/а, а=2. подставляем в формулу  sполн = 18*2 =36
4,4(46 оценок)
Новые ответы от MOGZ: Геометрия
logo
Вход Регистрация
Что ты хочешь узнать?
Спроси Mozg
Открыть лучший ответ