М
Молодежь
К
Компьютеры-и-электроника
Д
Дом-и-сад
С
Стиль-и-уход-за-собой
П
Праздники-и-традиции
Т
Транспорт
П
Путешествия
С
Семейная-жизнь
Ф
Философия-и-религия
Б
Без категории
М
Мир-работы
Х
Хобби-и-рукоделие
И
Искусство-и-развлечения
В
Взаимоотношения
З
Здоровье
К
Кулинария-и-гостеприимство
Ф
Финансы-и-бизнес
П
Питомцы-и-животные
О
Образование
О
Образование-и-коммуникации
snezhanakosola
snezhanakosola
28.05.2023 16:35 •  Геометрия

сорчно, СОЧ! (без приколов заранее ❤️​


сорчно, СОЧ! (без приколов заранее ❤️​

👇
Ответ:
Sofa8412
Sofa8412
28.05.2023

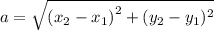
Длина отрезка вычисляется по формуле:

a = \sqrt{ {(x_2 - x_1)}^{2} + (y_2 - y_1) {}^{2} }

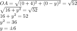
1)Отрезок ОА:

OA= \sqrt{(0 + 4) {}^{2} + (0 - y) {}^{2} } = \sqrt{52} \\ \sqrt{16 + {y}^{2} } = \sqrt{52} \\ 16 + {y}^{2} = 52 \\ {y}^{2} = 36 \\ y = \pm6

В данном случае у > 0

Получаем: А(-4; 6)

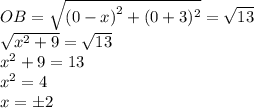
2)Отрезок ОВ:

OB = \sqrt{ {(0 - x)}^{2} + (0 + 3) {}^{2} } = \sqrt{13} \\ \sqrt{ {x}^{2} + 9} = \sqrt{13} \\ {x}^{2} + 9 = 13 \\ {x}^{2} = 4 \\ x = \pm2

В данном случае х < 0

Получаем: В(-2; -3)

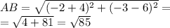
3) Найдем длину АВ:

А(-4; 6), В(-2; -3)

AB = \sqrt{( - 2 + 4) {}^{2} + ( - 3 - 6) {}^{2} } = \\ = \sqrt{4 + 81} = \sqrt{85}

4,8(67 оценок)
Открыть все ответы
Ответ:
dinbili2
dinbili2
28.05.2023
           Место старта  H
                                     I
                      12,6км    IК (конец пути)
                                     I                                                    I  5,6км
                                     II 
                                                        24 км 
Соедини точки Н и точку К  (это и будет искомое расстояние).
Наверху получим прямоугольный треугольник, у которого
вертикальный катет = 12,6 - 5,6 = 7 (км) 
горизонтальный катет = 24 км
гипотенуза НК, которую будем искать  по теореме Пифагора:
НК^2 = 7^2 + 24^2 = 49 + 576 = 625
HK = 25
ответ: на расстоянии 25 км от места старта находится яхта.
 
4,4(38 оценок)
Ответ:
Muzahabiba
Muzahabiba
28.05.2023
Если аб основание, тогда св боковая сторона, поскольку трапеция р/б, то св = ад = 10см, Проведём высоты из вершины тупых углов к большему основанию, обазначим их, как СМ и ДН. Получили два прямоугольных треугольника, которые равны по трём углам. Поскольку в р/б трапеции углы при основании равны, значит угол БСМ = углу АДН = 30градусам. АН и БМ из равенства треугольников равны. Также они лежат напротив угла в 30 градусов, соответсвенно равны 1/2 гипотенузы Т.е СВ, значит они равны 5 см. У нас остаётся отрезок МН = СД по свойству р/б трапеции. Поскоьку АБ=16, а АН и БМ 5 см, то НМ = СД = 6 см ответ: СД = 6 см
4,5(67 оценок)
Это интересно:
Новые ответы от MOGZ: Геометрия
logo
Вход Регистрация
Что ты хочешь узнать?
Спроси Mozg
Открыть лучший ответ