М
Молодежь
К
Компьютеры-и-электроника
Д
Дом-и-сад
С
Стиль-и-уход-за-собой
П
Праздники-и-традиции
Т
Транспорт
П
Путешествия
С
Семейная-жизнь
Ф
Философия-и-религия
Б
Без категории
М
Мир-работы
Х
Хобби-и-рукоделие
И
Искусство-и-развлечения
В
Взаимоотношения
З
Здоровье
К
Кулинария-и-гостеприимство
Ф
Финансы-и-бизнес
П
Питомцы-и-животные
О
Образование
О
Образование-и-коммуникации
КликКлак11
КликКлак11
25.10.2021 13:15 •  Геометрия

Найдите координаты середины отрезка AB, если A(1;-1;-1), B(1;-1;1)

👇
Ответ:
Aknur221
Aknur221
25.10.2021

(1;-1;0)

Объяснение:

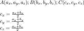
Для точки С, являющейся серединой отрезка [AB] верно:

A(a_x,a_y,a_z); B(b_x,b_y,b_z); C(c_x,c_y,c_z)c_x =\frac{a_x+b_x}{2}\\c_y =\frac{a_y+b_y}{2}\\c_z =\frac{a_z+b_z}{2}\\

В приведенном примере

C = (\frac{1+1}{2};\frac{-1-1}{2};\frac{-1+1}{2})=(1;-1;0))

4,4(20 оценок)
Открыть все ответы
Ответ:
VF85
VF85
25.10.2021
Раз периметр ромба равен 16 см, то каждая его сторона равна 16:4=4 см. Точкой пересечения диагоналей получаем прямоугольный треугольник, в котором гипотенузой является сторона ромба, равная 4 см, а также катет, равный половине данной длины нашей диагонали, т.е. один из катетов равен 3√4:2=6:2=3.
По теореме Пифагора находим второй катет: 4^2-3^2=7. Второй катет равен √7.
Тут по таблице Брадиса я только примерно могу назвать градусную меру углов.
Возьмём синус угла, напротив которого лежит половина нашей диагонали. Он будет равен 3:4=0,75. Градусная мера угла(примерно!) равна 49 градусов.
Тогда градусная мера другого угла примерно будет равна 180-90-49=41 градус.
Т.к. проведённые диагонали ромба являются и биссектрисами его углов, то градусная мера двух углов будет равна 98-ми градусам(лежащим напротив друг друга), а градусная мера других двух углов будет равна 82 градусам.
Чтобы удостовериться, что данные расчёты в теории правильны, сложим эти углы(должно получиться 360 градусов)=82^2+98^2=360.
ответ:Градусная мера острых углов ромба равна 82-ум градусам, а тупых 98-ми.
4,7(88 оценок)
Ответ:
olga312boo
olga312boo
25.10.2021
Обозначил меньшее основание - а, большее основание - b. Тогда периметр трапеции, с учётом условия равенства меньшего основания и боковых сторон, можно записать так Р=3*а+b. Площадь трапеции выглядит так: S=1/2*(a+b)*h, подставим известные нам значения 128=1/2*(a+b)*8 или a+b=(128*2)/8; a+b=32. Выразим из последнего уравнения b и подставим его в уравнение периметра: b=32-a; P=3*a+32-a; получим 52=2*а+32; 2а=52-32; 2а=20; а=10 см. b=32-10=22 см. Получили, что боковые стороны и меньшее основание равны 10 см, а большее основание равно 22 см.
4,7(80 оценок)
Новые ответы от MOGZ: Геометрия
logo
Вход Регистрация
Что ты хочешь узнать?
Спроси Mozg
Открыть лучший ответ