М
Молодежь
К
Компьютеры-и-электроника
Д
Дом-и-сад
С
Стиль-и-уход-за-собой
П
Праздники-и-традиции
Т
Транспорт
П
Путешествия
С
Семейная-жизнь
Ф
Философия-и-религия
Б
Без категории
М
Мир-работы
Х
Хобби-и-рукоделие
И
Искусство-и-развлечения
В
Взаимоотношения
З
Здоровье
К
Кулинария-и-гостеприимство
Ф
Финансы-и-бизнес
П
Питомцы-и-животные
О
Образование
О
Образование-и-коммуникации
богдан254
богдан254
12.12.2020 03:06 •  Геометрия

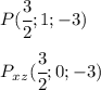
Найдите координаты основания перпенидикуляра опущенного точки p( 3/2; 1; -3) на плоскости xz

👇
Ответ:
viamell
viamell
12.12.2020
P( \cfrac{3}{2}; 1; -3) 
\\\\
P_x_z( \cfrac{3}{2}; 0; -3) 

4,5(43 оценок)
Открыть все ответы
Ответ:
1dashagun2
1dashagun2
12.12.2020
Обозначим четырёхугольник АВСД, центр окружности О.
У вписанного четырёхугольника сумма противоположных углов равна 180 градусов.
Значит, противоположные углы - это А; С (120°; 60°) и В; Д ( 150°; 30°).
Проведём радиусы в вершины.
Так как по условию ВС = АВ, то ОВ делит угол в 150° на 2 по 75°.
Треугольники ОСВ и ОВА равнобедренные, угол ВАО тоже 75°.
Тогда угол ОАД равен 120°-75 = 45°.
Угол АОД равен 180°-45°-30° = 105°.
Дуга АВС, на которую опирается вписанный угол Д, равна 30*2 = 60°.
Так как она делится пополам, то получаем ответ:
Дуги равны:
АВ = ВС = 30°,
АД = 105°,
ДОС = 360°-2*30°-105° = 195°.
4,5(71 оценок)
Ответ:
rrjtuk
rrjtuk
12.12.2020

открытия ломоносова в открытие ломоносова в области были довольно значительными, ведь именно он был создателем первой лаборатории в россии при академии наук, которая начала свое функционирование с 40-вых годов xviii столетия.   в ней ученый занимался исследованием веществ и разрабатывал новые способы получения материалов. своей работе он смог основать уникальные производства в россии. михаил ломоносов, используя экспериментальные методы и законы для исследования реакций и веществ, вывел новый способ исследования, который он назвал .

4,7(49 оценок)
Это интересно:
Новые ответы от MOGZ: Геометрия
logo
Вход Регистрация
Что ты хочешь узнать?
Спроси Mozg
Открыть лучший ответ